Getstudysolution is an online educational platform that allows students to access quality educational services and study materials at no cost.
Question 1.
List five rational numbers between
Solution:





Question 2.
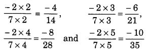
Write four more rational numbers in each of the following patterns :

Solution:



Question 3.
Give four rational numbers equivalent to:
(i)
(ii)
(iii)
Solution:
(i) Four rational numbers equivalent to

(ii) Four rational numbers equivalent to


(iii) Four rational numbers equivalent to

Question 4.
Draw the number line and represent the following rational numbers on it:
Solution:

Question 5.
The points P, Q, R, S, T, U, A, and B on this number line are such that, TR = RS = SU and AP = PQ = QB. Name the rational numbers represented by P, Q, R, and S.

Solution:
The rational number represented by P is 2
The rational number represented by Q is 2
The rational number represented by R is -1
The rational number represented by S is -1
The rational numbers represented by P, Q, R and S are 2
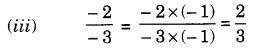
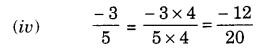
Question 6.
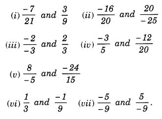
Which of the following pairs represent the same rational number?

Solution:
(i)

So, the given pair represents the same rational number.
![]()
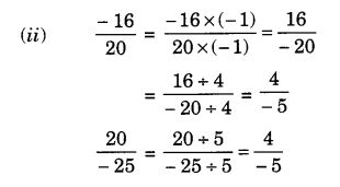
So, the given pair represents the same rational number.
![]()
So, the given pair represents the same rational number.

So, the given pair represents the same rational number.
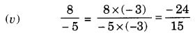
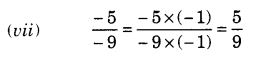
(vi)

Thus,
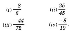
Question 7.
Rewrite the following rational numbers in the simplest form :

Solution:


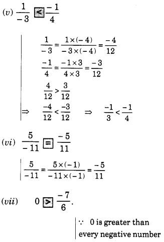
Question 8.
Fill in the boxes with the correct symbol out of >, < and =

Solution:



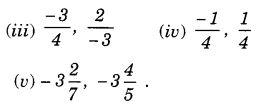
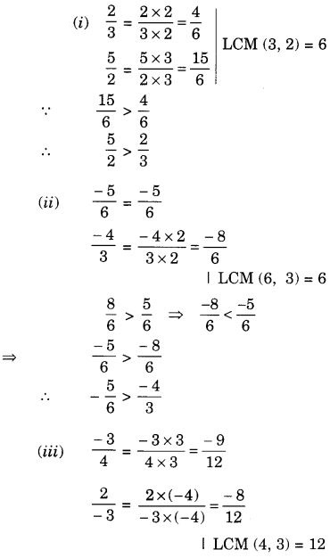
Question 9.
Which is greater in each of the following?


Solution:



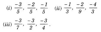
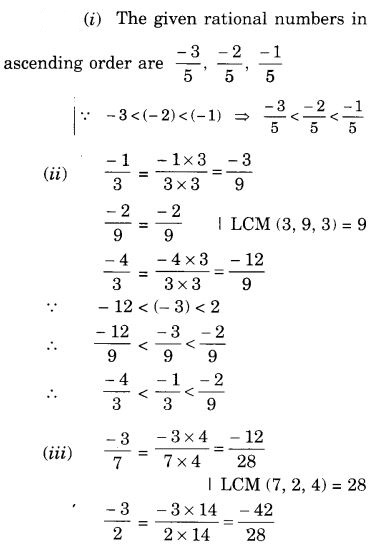
Question 10.
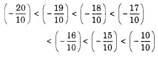
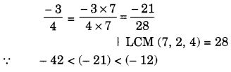
Write the following rational numbers in ascending order :

Solution:



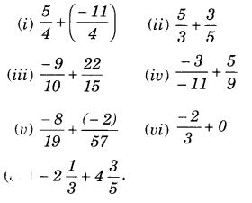
Question 1.
Find the sum:

Solution:




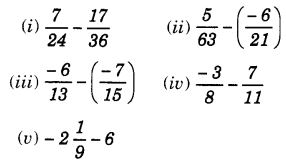
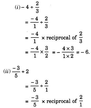
Question 2.
Find :

Solution:




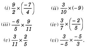
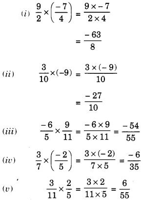
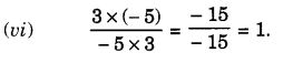
Question 3.
Find the product :

Solution:


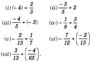
Question 4.
Find the value of :

Solution:

