Getstudysolution is an online educational platform that allows students to access quality educational services and study materials at no cost.
Question 1.
Write the following as numbers in the given table:
(a)

(b)

| Hundreds (100) |
Tens (10) |
Ones (1) |
Tenths |
Solution.
| Hundreds (100) |
Tens (10) |
Ones (1) |
Tenths ( |
|
| (a) | 0 | 3 | 1 | 2 |
| (b) | 1 | 1 | 0 | 4 |
Question 2.
Write the following decimals in the place value table :
(a)19.4
(b)0.3
(c)10.6
(d)05.9
Solution.
| Hundreds | Tens |
Ones | Tenths | |
| (a) | 0 | 1 | 9 | 4 |
| (b) | 0 | 0 | 0 | 3 |
| (c) | 0 | 1 | 0 | 6 |
| (d) | 2 | 0 | 5 | 9 |
Question 3.
Write each of the following as decimals:
(a) Seven-tenths
(b) Two tens and nine-tenths
(c) Fourteen point six
(d) One hundred and two ones
(e) Six hundred point eight
Solution.
(a) 7 tenths :
(b) Two tens and nine-tenths = 20 +
(c) Fourteen point six = 14.6
(d) One hundred and two-ones =100 + 2=102
(e) Six hundred point eight = 600.8
Question 4.
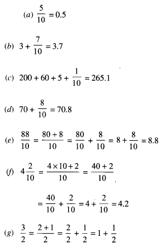
Write each of the following as decimals:
(a)
(b) 3 +
(c) 200+60+5+
(d) 70+
(e) 4
(g)
(h)
(i)
(j) 3
(k) 4
Solution.


Question 5.
Write the following decimals as fractions. Reduce the fractions to lowest form :
(a) 0.6
(b) 205
(c) 1.0
(d) 3.8
(e) 13.7
(f) 21.2
(g) 6.4
Solution.
(a)
∵ H.C.F.(6,10) = 2
=
(b)
∵ H.C.F.(25,10) = 5
=
(c)
∵ H.C.F.(10,10) = 10
=
(d)
∵ H.C.F.(38,10) = 2
=
(e)
(f)
∵ H.C.F.(212,10) = 5
=
(g)
∵ H.C.F.(64,10) = 2
=
Question 6.
Express the following as cm using decimals:
(a)2mm
(b)30mm
(c)116mm
(d) 4cm2mm
(e) 11cm 52cm
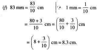
(f)83 mm
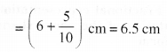
Solution.
(a)
∵
= 0.2cm
(b)
∵
= 3cm = 3.0cm



Question 7.
Between which two whole numbers on the number line are the given numbers lie? Which of these whole numbers is nearer the number?
(a) 0.8
(b) 5.1
(c) 2.6
(d) 6.4
(e) 9.0
(f) 4.9

Solution.
(a) 0.8. The number 0.8 is between the two whole numbers 0 and 1. The whole number 1 is nearer the number 0.8.
(b) 5.1. The number 5.1 is between the two whole numbers 5 and 6. The whole number 5 is nearer the number 5.1.
(c) 2.6. The number 2,6 is between the two whole numbers 2 and 3. The whole number 3 is nearer the number 2.6.
(d) 6.4 The number 6.4 is between the two whole numbers 6 and 7. The whole number 6 is nearer the number 6.4.
(e) 0. 9.0 itself is a whole number.
(f) 4.9. The number 4.9 is between the two whole numbers 4 and 5. The whole number 5 is nearer the number 4.9.
Question 8.
Show the following numbers on the number line:
(a) 2
(b) 1.9
(c) 1
(d) 2.5.
Solution.
(a) 0.2. We know that 0.2 is more than zero but less than one. There are 2-tenths in it. Divide the unit length between 0 and 1 into 10 equal parts and take 2 parts as shown below:

(b) 1.9. We know that 1.9 is more than one but less than two. There are 9-tenths in’it. Divide the unit length between 1 and 2 into 10 equal parts and take 9 parts as shown below:
![]()
(c) 1.1. We know that 1.1 is more than one but less than two. There is one-tenth in it. Divide the unit length between 1 and 2 into 10 equal parts and take 1 part as shown below:
![]()
(d) 2.5. We know that 2.5 is more than two but less than three. There are 5-tenths in it. Divide the unit length between 2 and 3 into 10 equal parts and take 5 parts as shown below :
![]()
Question 9.
Write the decimal number represented by the points A, B, C, D on the given number line :
![]()
Solution.
(i) A. The decimal number represented by the point A is 0.8 as the unit length between 0 and 1 has been divided into 10 equal parts and 8 parts have been taken.
(ii) B. The decimal number represented by the point B is 1.3 as the unit length between 1 and 2 has been divided into 10 equal parts and 3 parts have been taken.
(iii) C. The decimal number represented by the point C is 2.2 as the unit length between 2 and 3 has been divided into 10 equal parts and 2 parts have been taken.
(iv) D. The decimal number represented by the point D is 2.9 as the unit length between 2 and 3 has been divided into 10 equal parts and 9 parts have been taken.
Question 10.
(a) The length of Ramesh’s notebook is 9 cm 5 mm. What will be its length in cm?
(b) The length of a young gram plant is 65 mm. Express its length in cm.
Solution.
(a) Length of Ramesh’s notebook = 9 cm 5mm



Question 1.
Complete the table with the help of these boxes and use decimals to write the number.

| Ones | Tenths | Hundredths | Number | |
| (a) | ||||
| (b) | ||||
| (c) |
Solution.
| Ones | Tenths | Hundredths | Number | |
| (a) | 0 | 2 | 6 | 0.26 |
| (b) | 1 | 3 | 8 | 1.38 |
| (c) | 1 | 2 | 8 | 1.28 |
Question 2.
Write the numbers in the following place value table in decimal form:
| Hundreds (100) |
Tens (10) |
ones (1) |
Tenths (Tenths |
Hundredths (Tenths |
Thousandths (Tenths |
|
| (a) | 0 | 0 | 3 | 2 | 5 | 0 |
| (b) | 1 | 0 | 2 | 6 | 3 | 0 |
| (c) | 0 | 3 | 0 | 0 | 2 | 5 |
| (d) | 2 | 1 | 1 | 9 | 0 | 2 |
| (e) | 0 | 1 | 2 | 2 | 4 | 1 |
Solution.



Question 3.
Write the following decimals in the place value table:
(a) 0.29
(b) 2.08
(c) 19.60
(d) 148.32
(e) 200.812
Solution.
| DecimalNumber | Hundreds | Tens | Ones | Tenths | Hundredths | Thousandths |
| (a) 0.29 | 0 | 0 | 0 | 2 | 9 | 0 |
| (b) 2.08 | 0 | 0 | 2 | 0 | 8 | 0 |
| (c) 19.60 | 0 | 1 | 9 | 6 | 0 | 0 |
| (d) 148.32 | 1 | 4 | 8 | 3 | 2 | 0 |
| (e) 200.812 | 2 | 0 | 0 | 8 | 1 | 2 |
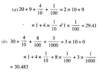
Question 4.
Write each of the following as decimals:
(a) 20+9+
(b) 30+
(c)137+
(d)
(e) 23+
(f)700+20+5+
Solution.


Question 5.
Write each of the following decimals in words:
(a) 0.03
(b) 1.20
(c) 108.56
(d) 10.07
(e) 0.032
(f) 5.008.
Solution.
(a) Zero point zero three
(b) One point two zero
(c) One hundred eight point five six
(d) Ten point zero seven
(e) Zero point zero three two
(f) Five point zero eight.
Question 6.
Between which two numbers in tenths place on the number line does each of the given number lie?
(a) 06
(b) 0.45
(c) 19
(d) 0.66
(e) 92
(f) 0.57.
Solution.
Each of the given numbers lies between the two whole numbers 0 and 1 on the number line.
(a) 0 and 0.1
(b) 4 and 0.5
(c) 1 and 0.2
(d) 0.6 and 0.7
(e) 9 and 1.0
(f) 0.5 and 0.6.
Question 7.
Write as fractions in lowest terms:
(a) 0.60
(b) 0.05
(c) 75
(d) 0.18
(e) 25
(f) 0.125.
Solution.
(a) 0.60
∵ H.C.F.(60,100) = 20
=
(b) 0.05
∵ H.C.F.(5,100) = 5
=
(c) 0.75
∵ H.C.F.(75,100) = 25
=
(d) 0.18
∵ H.C.F.(18,100) = 2
=
(e) 0.25
∵ H.C.F.(25,100) = 25
=
(f) 0.125
∵ H.C.F.(125,1000) =125
=
Question 1.
Which is greater?
(a) 0.3 or 0.4
(b) 0.07 or 0.02
(c) 3 or 0.8
(d) 0.5 or 0.05
(e) 1.23 or 1.2
(f) 0.099 or 0.19
(g) 1.5 or 1.50
(h) 1.431 or 1.490
(i) 3.3 or 3.300
(j) 5.64 or 5.603
Solution.
(a) 0.3 or 0.4
Whole part for both is 0.
Tenth part for 0.3 is 3 and for 0.4 is 4
∵ 4>3
∴ 0.4 > 0.3
(b) 07 or 0.02
Whole part for both is 0.
Tenth part for both is 0.
Hundredth part for 0.07 is 7 and for 0.02 is 2.
∵7>2
∴ 0.07 > 0.02
(c) 3 or 0.8
Whole part for 3 is 3 and for 0.8 is 0.
∵ 3 >0
∴3 >0.8
(d) 5 or 0.05
Whole part for both is 0.
Tenth part for 0.5 is 5 and for 0.05 is 0.
∵ 5 >0
∴ 0.5 > 0.05
(e) 23 or 1.2
Whole part for both is 1.
Tenth part for both is 2.
Hundredth part for 1.23 is 3 and for 1.2 is 0 (as 1.2= 1.20)
(f) 0.099 or 0.19
Whole part for both is 0.
Tenth part for 0.099 is 0 and for 0.19 is 1.
∵ 1>0
∴ 0.19 >0.099
(g)1.5 or 1.50
Whole part for both is 1.
Tenth part for both is 5.
Hundredth part for both is 0 (as 1.5 = 1.50).
∴ 1.5=1.50
(h) 1431 or 490
Whole part for both is 1.
Tenth part for both is 4.
Hundredth part for 1.431 is 3 and for 1.490 is 9
∵ 9>3
∴ 1.490 >1.431
(i) 3 or 3.300
Whole part for both is 3.
Tenth part for both is 3.
Hundredth part for both is 0 (as 3.3 = 3.30).
Thousandth part for both is 0 (as 3.3 = 3.300).
∴ 3.3 = 3.300
(J) 5.64 or 5.603
Whole part for both is 5.
Tenth part for both is 6.
Hundredth part for 5.64 is 4 and for 5.603 is 0.
∵ 4>0
∴ 5.64 > 5.603
Question 2.
Make five more examples and find the greater number from them.
Solution.
Five more examples are as follows:
Which is greater?
Ex. 1. 0.4 or 0.5
Ex. 2. 0.06 or 0.04
Ex. 3. 4 ox 0.9
Ex. 4. 0.6 or 0.06
Ex. 5. 0.063 or 0.22
Solution.
1.
0.4 or 0.5
Whole part for both = 0
Tenth part for 0.4 = 4
Tenth part for 0.5 = 5
∵ 5 >4
∴ 0.5 > 0.4
2.
0.06 or 0.04
Whole part for both = 0
Tenth part for both = 0
Hundredth part for 0.06 = 6
Hundredth part for 0.04 = 4
∵ 6 >4
∴ 0.06 > 0.04
3.
4 or 0.9
Whole part for 4 = 4
Whole part for 0.9 = 0
∵ 4 > 0
∴ 4 > 0.9
4.
0.6 or 0.06
Whole part for both = 0
Tenth part for 0.6 = 6
Tenth part for 0.06 = 0
∵ 6 > 0
∴ 0.6 > 0.06
5.
0.063 or 0.22
Whole part for both = 0
Tenth part for 0.063 = 0
Tenth part for 0.22 = 2
∵ 2 > 0
∴ 0.22 > 0.063.
Question 1.
Express as rupees using decimals.
(a) 5 paise
(b) 75 paise
(c) 20 paise
(d) 50 rupees 90paise
(e) 725 paise.
Solution.



Question 2.
Express as meters using decimals.
(a) 15 cm
(b) 6 cm
(c) 2 m 45 cm
(d) 9 m 7cm
(e) 419 cm.
Solution.


Question 3.
Express as cm using decimals.
(a) 5 mm
(b) 60 mm
(c) 164 mm
(d) 9 cm 8 mm
(e) 93mm.
Solution.


Question 4.
Expresc as km using decimals.
(a) 8m
(b) 88m
(c) 8888 m
(d) 70 km 5 m.
Solution.


Question 5.
Express as kg using decimals.
(a) 2g
(b) 100g
(c) 3750g
(d) 5kg8g
(e) 26 kg 50g
Solution.




Question 1.
Find the sum in each of the following:
(a) 0.007+8.5+30.08
(b) 15 + 0.632 + 13.8
(c) 27.076 + 0.55 + 0.004
(d) 25.65 + 9.005 + 3.7
(e) 0.75 + 10.425 + 2
(f) 280.69 + 25.2 + 38.
Solution.



Question 2.
Rashid spent Rs.35.75 for Maths book and Rs.32.60 for Science book. Find the total amount spent by Rashid.
Solution.
Money spent for Maths book = Rs. 35.75
Money spent for Science book = Rs. 32.60
Total amount spent by Rashid = Rs. 35.75 +Rs.32.60
= Rs. 68.35.

Question 3.
Radhika’s mother gave her ? 10.50 and her father gave her ? 15.80, find the total amount given to Radhika by the parents.
Solution.
Money given by mother = Rs. 10.50
Money given by father = Rs. 15.80
Total amount given to Radhika by parents = Rs. 10.50 +Rs.15.80 =Rs. 26.30

Question 4.
Nasreen bought 3 m 20 cm cloth for her shirt and 2 m 5 cm cloth for her trouser. Find the total length of cloth bought by her.
Solution.
Cloth bought for her shirt

Question 5.
Naresh walked 2 km 35 m in the morning and 1 km 7 m in the evening. How much distance did he walk in all?
Solution.
Distance walked by Naresh in the morning


Question 6.
Sunita travels 15 km 268 m by bus, 7 km 7 m by car and 500 m on foot in order to reach her school. How far is her school from her residence?
Solution.


Question 7.
Ravi purchased 5 kg 400 grice, 2 kg 20 g sugar and 10 kg 850 g flour. Find the total weight of his purchases.
Solution.


Question 1.
Subtract
(a) ₹ 18.25 from ₹ 20.75
(b) ₹ 25from ₹ 20.75
(c) 54 mfrom 250 m
(d) ₹ 36 from ₹ 8.40
(e) 2.051 km from 5.206 km
(f) 0.314 kg from 2.107 kg.
Solution.


Question 2.
Find the value of:
(a) 9.756 – 6.28
(b) 21.05 – 15.27
(c) 18.5 – 6.79
(d) 11.6- 9.847.
Solution.

Question 3.
Raju bought a book for ₹ 35.65. Did he give? 50 to the shopkeeper. How much money did he get back from the shopkeeper?
Solution.
Book bought for = ₹ 35.65
Money is given to the shopkeeper = ₹ 50
∴ Money got back from the shopkeeper
= ₹ 50 – ?35.65
= ₹ 14.35

Question 4.
Rani had ₹ 18.50. She bought one ice-cream for ₹ 11.75. How much money does she have now?
Solution.
Money Rani had = ₹ 18.50
Ice-cream bought for = ₹ 11. 75
∴ Money she has now = ₹ 18.50 – ₹ 11. 75
= ₹ 6.75

Question 5.
Tina had 20 m 5 cm long cloth. She cuts 4 m 50 cm length of cloth from this for making a curtain. How much cloth is left with her?
Solution.
Length of cloth Tina had

Question 6.
Namita travels 20 km 50 m everyday. Out of this, she travels 10 km 200 m by bus and the rest by auto. How much distance does she travel by auto?
Solution.
Distance travelled everyday
= 20 km 50 m = 20 km + 50 m
= 20 km +

Question 7.
Aakash bought vegetables weighing 10 kg. Out of this, 3 kg 500 g is onions, 2 kg 75 g is tomatoes and the rest is potatoes. What is the weight of the potatoes?
Solution.
Weight of vegetables bought = 10 kg
Weight of onions = 3 kg 500 g = 3 kg + 500 g
