Getstudysolution is an online educational platform that allows students to access quality educational services and study materials at no cost.
Question 1.
Write the fraction representing the shaded portion.



Solution :

Question 2.
Color the part according to the given fraction.

Solution :

Question 3.
Identify the error, if any

Solution :
Neither of the shaded portions represents the corresponding given fractions. 4.
Question 4.
What fraction of a day is 8 hours?
Solution :
1 day = 24 hours
∴ Required fraction =
Question 5.
What fraction of an hour is 40 minutes?
Solution :
1 hour = 60 minutes
∴ Required fraction =
Question 6.
Arya, Abhimanyu, and Vivek shared lunch. Arya brings two sandwiches, one made of vegetable and one of jam. The other two boys forgot to bring their lunch. Arya agreed to share his sandwiches so that each person will have an equal share of each sandwich.
(a) How can Arya divide his sandwiches so that each person has an equal share?
(b) What part of a sandwich will each boy receive?
Solution :
(a) Arya will divide each sandwich into three equal parts, and give one part of each sandwich to each one of them.
(b) Each boy will receive
Question 7.
Kanchan dyes dresses. She had to dye 30 dresses. She has so far finished 20 dresses. What fraction of dresses has she finished?
Solution :
She has finished
Question 8.
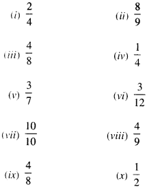
Write the natural numbers from 2 to 12. What fraction of them are prime numbers?
Solution :
The natural numbers from 2 to 12 are 2, 3, 4,5,6, 7, 8, 9, 10, 11 and 12
Total number of natural numbers = 11
Out of these, the prime numbers are 2, 3, 5, 7, 11
Total number of these prime numbers = 5 5
∴ Required fraction =
Question 9.
Write the natural numbers from 102 to 113. What fraction of them are prime numbers?
Solution :
The natural numbers from 102 to 113 are
102, 103, 104, 105, 106, 107, 108, 109, 110, 111, 112 and 113
Total number of natural numbers =12
Out of these, the prime numbers are 103, 107, 109, 113.
Total number of these prime numbers = 4 . 4
∴ Required fraction =
Question 10.
What fraction of these circles have X’s in them?

Solution :
Total number of circles = 8
Number of circles which have X’s in them = 4
∴ Required fraction =
Question 11.
Kristin received a CD player for her birthday. She bought 3 CDs and received 5 others as gifts. What fraction of her total CDs did she buy and what fraction did she receive as gifts?
Solution :
Number of CDs bought = 3
Number of CDs received as gifts = 5
∴ Total number of CDs = 3 + 5 = 8
Fraction of her total CDs that she bought
Question 1.
Draw number lines and locate the points on them:

Solution :
(a)

(b)

(c)

Question 2.
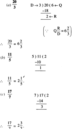
Express the following as mixed fractions:
(a)
(b)
(c)
(d)
(e)
(f)
Solution :



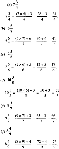
Question 3.
Express the following as improper fractions:

Solution :

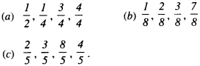
Question 1.
Write the fractions. Are all these fractions equivalent?
(a)

(b)

Solution :
(a)


(b)

No ! all these fractions ae not equivalent.
Question 2.
Write the fractions and pair up the equivalent fractions from each row.

Solution:


Equivalent fractions are
(a), (ii);
(b), (,iv);
(c), (i);
(d), (v);
(e), (iii).
Question 3.
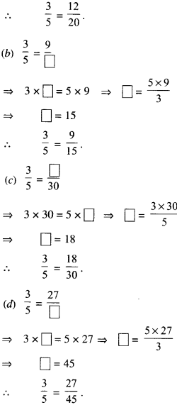
Replace in each of the following by the correct number:

Solution :



Question 4.
Find the equivalent fraction of
(a) denominator 20
(b) numerator 9
(d) numerator 27
(c) denominator 30
Solution :


Question 5.
Find the equivalent fraction of
(a) numerator 9
(b) denominator 4.
Solution :


Question 6.
Check whether the given fractions are equivalent :
(a)
(b)
(c)
Solution :

∴ The given fractions

∴ The given fractions

∴ The given fractions
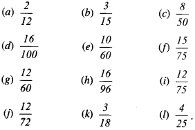
Question 7.
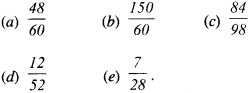
Reduce the following fractions to simplest form:

Solution :
(a)
Factors of 48 are 1, 2, 3,4, 6, 8, 12, 16, 24 and 48.
Factors of 60 are 1, 2, 3,4, 5, 6, 10,12, 15, 20, 30 and 60.
∴ Common factors of 48 and 60 are 1, 2, 3, 4, 6 and 12. Highest of these common factors is 12.
∴ H.C.F. of 48 and 60 is 12.

(b)
Factors of 150 are 1,2,3,5,6.10,15,25,30,50, 75 and 150.
Factors of 60 are 1, 2. 3, 4. 5, 6, 10, 12, 15, 20, 30 and 60.
∴ Common factors of 150 and 60 are 1, 2, 3, 5,6, 10, 15 and 30.
Highest of these common factors is 30.
∴ H.C.F. of 150 and 60 is 30.

(c)
Factors of 84 are 1, 2, 3,4, 6, 7, 12, 14, 21, 28, 42 and 84.
Factors of 98 are 1, 2, 7, 14,49 and 98.
∴ Common factors of 84 and 98 are 1,7 and 14. Highest of these common factors is 14.
∴ H.C.F. of 84 and 98 is 14.

(d)
Factors of 12 are 1, 2, 3,4, 6 and 12.
Factors of 52 are 1, 2, 4, 13, 26 and 52.
∴ Common factors of 12 and 52 are 1,2 and 4. Highest of these common factors is 4.
∴ H.C.F. of 12 and 52 is 4.

(e)
Factors of 7 are 1 and 7.
Factors of 28 are 1, 2,4, 7, 14 and 28.
∴ Common factors of 7 and 28 are 1 and 7. Highest of these common factors is 7.
∴ H.C.F. of 7 and 28 is 7.

Question 8.
Ramesh had 20 pencils, Sheelu had 50 pencils and Jamaal had 80 pencils. After 4 months, Ramesh used up 10 pencils, Sheelu used up 25 pencils and Jamaal used up 40 pencils. What fraction did each use up? Check if each has used up an equal fraction of his/her pencils?
Solution :
For Ramesh
Number of pencils he had = 20 Number of pencils used by him =10

For Sheelu
Number of pencils she had = 50 Number of pencils used by her = 25

For Jamaal
Number of pencils he had = 80 Number of pencils used by him = 40

Yes ! each has used up an equal fraction of his/her pencils.
Question 9.
Match the equivalent fractions and write another two more for each :

Solution :
(i)
Factors of 250 are 1, 2, 5, 10, 25, 50, 125 and 250.
Factors of 400 are 1,2,4,5,8,10,16,20,25,40, 80, 100, 200 and 400.
∴ Common factors of 250 and 400 are 1,2,5, 10, 25 and 50.
Highest of these common factors is 50.
∴ H.C.F. of 250 and 400 is 50.

(ii)
Factors of 180 are 1,2, 3,4, 5, 6,9,10,12,15, 18, 20, 30, 36, 45, 60, 90 and 180.
Factors of 200 are 1,2, 4, 5, 8, 10, 20, 25, 40, 50, 100, 200.
∴ Common factors of 180 and 200 are 1,2, 4, 5, 10 and 20.
Highest of these common factors is 20.
∴ H.C.F. of 180 and 200 is 20.

(iii)
Factors of 660 are 1,2,3,4,5,6,10,12,22,30, 66, 110, 132, 165, 220, 330 amd 660.
Factors of 990 are 1,2,3,5,6,9,10,11,30,33, 90, 99, 110, 165, 198, 330, 495 and 990.
∴ Common factors of 660 and 990 are 1,2,3, 5,6, 10, 30, 110 and 330.
Highest of these common factors is 330.
∴ H.C.F. of 660 and 990 is 330.

(iv)
Factors of 180 are 1, 2, 3,4, 5, 6, 9, 10, 12,15, 18, 20, 30, 36,45, 60, 90 and 180.
Factors of 360 are 1, 2, 3,4, 5, 6,9,10, 12, 15, 18, 20, 24, 30, 36,40, 60, 72, 90, 120, 180 and 360.
∴ Common factors of 180 and 360 are 1,2, 3,4,5,6,9,10,12,15,18.20, 30, 36,60,90 and 180.
Highest of these common factors is 180.
∴ H.C.F. of 180 and 360 is 180.

(v)
Factors of 220 are 1,2,4, 5,10,11, 20, 22,44, 55, 110 and 220.
Factors of 550 are 1, 2, 5, 10, 22, 25, 55, 110, 275 and 550.
∴ Common factors of 220 and 550 are 1,2,5, 10, 20 and 110.
Highest of these common factors is 110.
∴ H.C.F. of 220 and 550 is 110.
![]()

Question 1.
Write shaded portion as a fraction. Arrange them in ascending and descending order using correct sign ‘<‘, ‘=’, ‘>’ between the fraction:
(a)

(b)

![]()
appropriate signs between the fractions given

Solution:

(i) In ascending order, these are
![]()
(ii) In descending order, these are
![]()
(b)

(i) In ascending order, these are
![]()
(ii) In descending order, these are
![]()
(c)

Question 2.
Compare the fractions and put an appropriate sign.

Solution :
![]()
![]()
Question 3.
Make five more such pairs and make appropriate signs.

Question 4.
Look at the figures and write ‘<’ or ‘>’, ‘=’ between the pairs of fractions.
Solution :


Make five more such problems and solve them with your friends.
Solution:

For the remaining part, please try yourself.
Question 5.
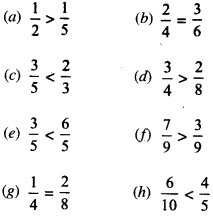
How quickly can you do this? Fill appropriate sign (<, =,>)

Solution :

![]()
Question 6.
The following fractions represent just three different numbers. Separate them into three groups of equivalent fractions, by changing each one to its simplest form.

Solution :


Question 7.
Find answers to the following. Write and indicate how you solved them.

Solution :
(a) Equivalent fraction of
![]()
Equivalent fraction of

(b) Equivalent fraction of


Question 8.
Ila reads 25 pages of a book containing 100 pages. Lalita reads

Question 9.
Rafiq exercised for
Solution :
∴
∴ Rohit exercised for a longer time.
Question 10.
In class A of 25 students, 20 passed in first class; in another class B of 30 students, 24 passed in first class. In which class was a greater fraction of students getting first class?
Solution :

Hence, in both the classes the same fraction
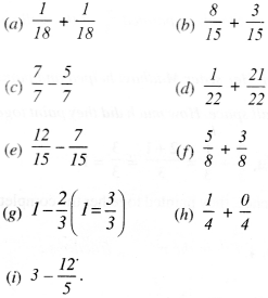
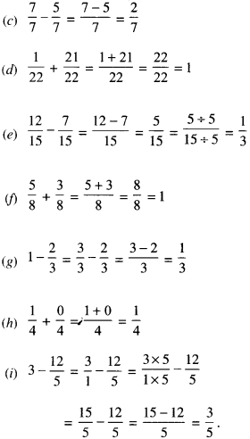
Question 1.
Write these fractions appropriately as additions or subtractions:

Solution :


Question 2.
Solve

Solution :


Question 3.
Shubham painted
Solution :
![]()
Hence, they painted together with the complete wall space. ,
Question 4.
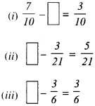
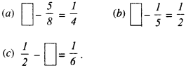
Fill in the missing fractions :

![]()
Solution :


Question 5.
Javed was given
Solution :

Hence, fraction
Question 1.
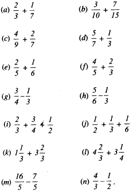
Solve:

Solution :






Question 2.
Sarita bought
Solution :
Ribbon bought by Sarita =
Ribbon bought by Lalita =
∴ Total length of the ribbon they bought

Question 3.
Naina was given
Solution :
Cake given to naina =

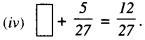
Question 4.
Fill in the boxes:

Solution :


Question 5.
Complete the addition-subtraction box.


Solution :


Question 6.
A piece of wire
Solution :
Length of the original piece of wire =
∴ Length of one piece =
Length of the other piece =

Question 7.
Nandini’s house is ~ km from her school. She walked some distance and then took a bus for km to reach the school. How far did she walk?
Solution :
The distance of Nandini’s house from school

Question 8.
Asha and Samuel have bookshelves of the 5 same size. Asha’s shelf is
Solution :

Question 9.
Jaidev takes
Solution :
Time taken by Jaidev to walk across the school ground =
