Getstudysolution is an online educational platform that allows students to access quality educational services and study materials at no cost.
Question 1.
In which of the following situations, does the list of numbers involved make an arithmetic progression and why?
(i) The taxi fare after each km when the fare is ₹ 15 for the first km and ₹ 8 for each additional km.
(ii) The amount of air present in a cylinder when a vacuum pump removes
(iii) The cost of digging a well after every metre of digging, when it costs ₹ 150 for the first metre and rises by ₹ 50 for each subsequent metre.
(iv) The amount of money in the account every year, when ₹ 10000 is deposited at compound interest at 8% per annum.
Solution:
(i) Given:
a1 = ₹ 15
a2 = ₹ 15 + ₹ 8 = ₹ 23
a3 = ₹ 23 + ₹ 8 = ₹ 31
List of fares is ₹ 15, ₹ 23, ₹ 31
and a2 – a1 = ₹ 23 – ₹ 15 = ₹ 8
a3 – a2 = ₹ 31 – ₹ 23 = ₹ 8
Here, a2 – a1 = a3 – a2
Thus, the list of fares forms an AP.

(iii) Given:
a1 = ₹ 150, a2 = ₹ 200, a3 = ₹ 250
a2 – a1 = ₹ 200 – ₹ 150 = ₹ 50
and a3 – a2 = ₹ 250 – ₹ 200 = ₹ 50
Here, a3 – a2 = a2 – a1
Thus, the list forms an AP.
(iv) Given: a1 = ₹ 10000
a2 = ₹ 10000 + ₹ 10000 x
a3 = ₹ 10800 + ₹ 10800 x
a2 – a1 = ₹ 10800 – ₹ 10000 = ₹ 800
a3 – a2 = ₹ 11664 – ₹ 10800 = ₹ 864
a3 – a2 ≠ a2 – a1
Thus, it is not an AP.
Question 2.
Write first four terms of the AP, when the first term a and the common difference d are given as follows:
(i) a = 10, d = 10
(n) a = -2, d = 0
(iii) a = 4, d = -3
(iv) a = -1, d =
(v) a = -1.25, d = -0.25
Solution:
(i) Given: a = 10, d = 10
a1 = 10,
a2 = 10 + 10 = 20
a3 = 20 + 10 = 30
a4 = 30 + 10 = 40
Thus, the first four terms of the AP are 10, 20, 30, 40.
(ii) Given: a = – 2, d = 0
The first four terms of the AP are -2, -2, -2, -2.
(iii) a1 = 4, d = -3
a2 = a1 + d = 4 – 3 = 1
a3 = a2 + d = 1 – 3 = -2
a4 = a3 + d = -2 – 3 = -5
Thus, the first four terms of the AP are 4, 1, -2, -5.
(iv)

(v) a1 = -1.25, d = -0.25
a2 = a1 + d = -1.25 – 0.25 = -1.50
a3 = a2 + d = -1.50 – 0.25 = -1.75
a4 = a3 + d = -1.75 – 0.25 = -2
Thus, the first four terms of the AP are -1.25, -1.50, -1.75, -2.
Question 3.
For the following APs, write the first term and the common difference:
(i) 3, 1, -1, -3, ……
(ii) -5, -1, 3, 7, ……
(iii)
(iv) 0.6, 1.7, 2.8, 3.9, …….
Solution:
(i) a1 = 3, a2 = 1
d = a2 – a1 = 1 – 3 = -2
where, a1 = first term and d = common difference
a1 = 3, d = -2
(ii) a1 = -5, a2 = -1
d = a2 – a1 = -1 – (-5) = -1 + 5 = 4
So, first term a1 = -5 and common difference d = 4
(iii) a1 =
d =
So, first term a1 =
a1= 0.6, a2 = 1.7
d = a2 – a1 = 1.7 – 0.6 = 1.1
So, first term a1 = 0.6 and common difference d = 1.1
Question 4.
Which of the following are APs ? If they form an AP, find the common difference d and write three more terms.
(i) 2, 4, 8, 16, …….
(ii) 2,
(iii) -1.2, -3.2, -5.2, -7.2, ……
(iv) -10, -6, -2,2, …..
(v) 3, 3 + √2, 3 + 2√2, 3 + 3√2, …..
(vi) 0.2, 0.22, 0.222, 0.2222, ……
(vii) 0, -4, -8, -12, …..
(viii)
(ix) 1, 3, 9, 27, …….
(x) a, 2a, 3a, 4a, …….
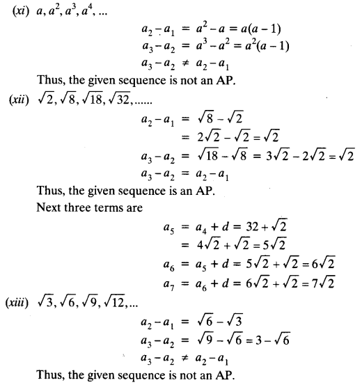
(xi) a, a2, a3, a4, …….
(xii) √2, √8, √18, √32, …..
(xiii) √3, √6, √9, √12, …..
(xiv) 12, 32, 52, 72, ……
(xv) 12, 52, 72, 73, ……
Solution:
(i) 2, 4, 8, 16, ……
a2 – a1 = 4 – 2 = 2
a3 – a2 = 8 – 4 = 4
a2 – a1 ≠ a3 – a2
Thus, the given sequence is not an AP.






Question 1.
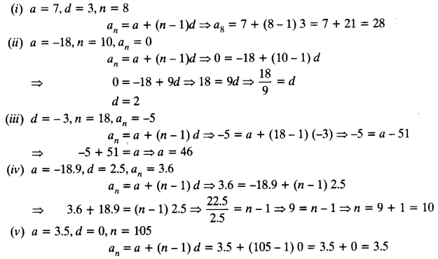
Fill in the blanks in the following table, given that a is the first term, d the common difference and an the nth term of the AP:

Solution:

Question 2.
Choose the correct choice in the following and justify:
(i) 30th term of the AP: 10, 7, 4, …, is
(A) 97
(B) 77
(C) -77
(D) -87
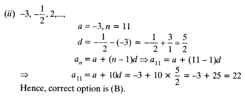
(ii) 11th term of the AP: -3,
(A) 28
(B) 22
(C) -38
(D) -48
Solution:
(i) 10, 7, 4, …,
a = 10, d = 7 – 10 = -3, n = 30
an = a + (n – 1)d
⇒ a30 = a + (30 – 1) d = a + 29 d = 10 + 29 (-3) = 10 – 87 = – 77
Hence, correct option is (C).

Question 3.
In the following APs, find the missing terms in the boxes:

Solution:


Question 4.
Which term of the AP: 3, 8, 13, 18, …, is 78?
Solution:
Given: 3, 8, 13, 18, ………,
a = 3, d = 8 – 3 = 5
Let nth term is 78
an = 78
a + (n – 1) d = 78
⇒ 3 + (n – 1) 5 = 78
⇒ (n – 1) 5 = 78 – 3
⇒ (n – 1) 5 = 75
⇒ n – 1 = 15
⇒ n = 15 + 1
⇒ n = 16
Hence, a16 = 78
Question 5.
Find the number of terms in each of the following APs:
(i) 7, 13, 19, …, 205
(ii) 18, 15
Solution:

Question 6.
Check, whether -150 is a term of the AP: 11, 8, 5, 2, ….
Solution:
11, 8, 5, 2, …….
Here, a = 11, d = 8 – 11= -3, an = -150
a + (n – 1) d = an
⇒ 11 + (n – 1) (- 3) = -150
⇒ (n – 1) (- 3) = -150 – 11
⇒ -3 (n – 1) = -161
⇒ n – 1 =
⇒ n =
Which is not an integral number.
Hence, -150 is not a term of the AP.
Question 7.
Find the 31st term of an AP whose 11th term is 38 and the 16th term is 73.
a11 = 38 and a16 = 73
⇒ a11 = a + (11 – 1) d ⇒ a + 10d = 38 ….. (i)
⇒ a16 = a + (16 – 1 )d ⇒ a + 15d = 73 …(ii)
Subtracting eqn. (i) from (ii), we get
a + 15d – a – 10d = 73 – 38
⇒ 5d = 35
⇒ d = 1
From (i), a + 10 x 7 = 38
⇒ a = 38 – 70 = – 32
a31 = a + (31 – 1) d = a + 30d = – 32 + 30 x 7 = – 32 + 210 = 178
Question 8.
An AP consists of 50 terms of which 3rd term is 12 and the last term is 106. Find the 29th term.
Solution:
Given:
a50 = 106
a50 = a + (50 – 1) d
⇒ a + 49d = 106 …(i)
and a3 = 12 ⇒ a3 = a + (3 – 1 )d ⇒ a + 2d = 12 …(ii)
Subtracting eqn. (ii) from (i), we get
a + 49d – a – 2d = 106 – 12
⇒ 47d = 94
⇒ d =
a + 2d = 12
⇒ a + 2 x 2 = 12
⇒ a + 4 = 12
⇒ a = 12 – 4 = 8
a29 = a + (29 – 1) d = a + 28d = 8 + 28 x 2 = 8 + 56 = 64
Question 9.
If the 3rd and the 9th term of an AP are 4 and -8 respectively, which term of this AP is zero?
Solution:
Given: a3 = 4 and a9 = – 8
⇒ a3 = a + (3 – 1 )d ⇒ a + 2d = 4 …(i)
a9 = a + (9 – 1) d ⇒ a + 8d = -8 ….(ii)
Subtracting eqn. (i) from (ii), we get
a + 8d – a – 2d = -8 – 4
⇒ 6d = -12.
⇒ d = -2
Now,
a + 2d = 4
⇒ a + 2(-2) = 4
⇒ a – 4 = 4
⇒ a = 4 + 4 = 8
Let an = 0
⇒ a + (n – 1) d = 0
⇒ 8 + (n – 1) (- 2) = 0
⇒ 8 = 2 (n – 1)
⇒ n – 1 = 4
⇒ n = 4 + 1 = 5
Hence, 5th term is zero.
Question 10.
The 17th term of an AP exceeds its 10th term by 7. Find the common difference.
Solution:
Given: a17 – a10 = 7
⇒ [a + (17 – 1 ) d] – [a + (10 – 1 ) d] = 7
⇒ (a + 16d) – (a + 9d) = 7
⇒ 7d = 7
⇒ d = 1
Question 11.
Which term of the AP: 3, 15, 27, 39, … will be 132 more than its 54th term?
Solution:
3, 15, 27, 39, …..
Here, a = 3, d = 15 – 3 = 12
Let an = 132 + a54
⇒ an – a54 = 132
⇒ [a + (n – 1) d] – [a + (54 – 1) d] = 132
⇒ a + nd – d – a – 53d = 132
⇒ 12n – 54d = 132
⇒ 12n – 54 x 12 = 132
⇒ (n – 54)12 = 132
⇒ n – 54 = 11
⇒ n = 11 + 54 = 65
Question 12.
Two APs have the same common difference. The difference between their 100th terms is 100, what is the difference between their 1000th terms?
Solution:
Let a and A be the first term of two APs and d be the common difference.
Given:
a100 – A100 = 100
⇒ a + 99d – A – 99d = 100
⇒ a – A = 100
⇒ a1000 – A1000 = a + 999d – A – 999d
⇒ a – A = 100
⇒ a1000 – A1000 = 100
Question 13.
How many three-digit numbers are divisible by 7?
Solution:
The three-digit numbers which are divisible by 7 are 105, 112, 119, ………., 994
Here, a = 105, d = 112 – 105 = 7 , an = 994
a + (n – 1) d = 994
⇒ 105 + (n – 1) 7 = 994
⇒ (n – 1) 7 = 994 – 105
⇒ 7 (n – 1) = 889
⇒ n – 1 = 127
⇒ n = 127 + 1 = 128
Question 14.
How many multiples of 4 lie between 10 and 250?
Solution:
The multiples of 4 between 10 and 250 be 12, 16, 20, 24,…., 248
Here, a = 12, d = 16 – 12 = 4, an = 248
an = a + (n – 1) d
⇒ 248 = 12 + (n – 1) 4
⇒ 248 – 12 = (n – 1) 4
⇒ 236 = (n – 1) 4
⇒ 59 = n – 1
⇒ n = 59 + 1 = 60
Question 15.
For what value of n, the nth term of two APs: 63, 65, 61,… and 3, 10, 17,… are equal?
Solution:
First AP
63, 65, 67,…
Here, a = 63, d = 65 – 63 = 2
an = a + (n – 1) d = 63 + (n – 1) 2 = 63 + 2n – 2 = 61 + 2n
Second AP
3, 10, 17, …
Here, a = 3, d = 10 – 3 = 7
an = a + (n – 1) d = 3 + (n – 1)7 = 3 + 7n – 7 = 7n – 4
Now, an = an
⇒ 61 + 2n = 7n – 4
⇒ 61 + 4 = 7n – 2n
⇒ 65 = 5n
⇒ n = 13
Question 16.
Determine the AP whose 3rd term is 16 and 7th term exceeds the 5th term by 12.
Solution:
Given: a3 = 16
⇒ a + (3 – 1)d = 16
⇒ a + 2d = 16
and a7 – a5 = 12
⇒ [a + (7 – 1 )d] – [a + (5 – 1 )d] = 12
⇒ a + 6d – a – 4d = 12
⇒ 2d = 12
⇒ d = 6
Since a + 2d = 16
⇒ a + 2(6) = 16
⇒ a + 12 = 16
⇒ a = 16 – 12 = 4
a1 = a = 4
a2 = a1 + d = a + d = 4 + 6 = 10
a3 = a2 + d = 10 + 6 = 16
a4 = a3 + d = 16 + 6 = 22
Thus, the required AP is a1, a2, a3, a4,…, i.e. 4, 10, 16, 22
Question 17.
Find the 20th term from the last term of the AP: 3, 8, 13, …, 253.
Solution:
Given: AP is 3, 8, 13,…….. ,253
On reversing the given A.P., we have
253, 248, 243 ,………, 13, 8, 3.
Here, a = 253, d = 248 – 253 = -5
a20 = a + (20 – 1)d = a + 19d = 253 + 19 (-5) = 253 – 95 = 158
Question 18.
The sum of the 4th and 8th terms of an AP is 24 and the sum of the 6th and 10th terms is 44. Find the first three terms of the AP.
Solution:

Question 19.
Subba Rao started work in 1995 at an annual salary of ₹ 5000 and received an increment of ₹ 200 each year. In which year did his income reach ₹ 7000 ?
Solution:
a = ₹ 5000, d = ₹ 200
Let an = ₹ 7000
We have, a + (n – 1) d = 7000
⇒ 5000 + (n – 1) 200 = 7000
⇒ (n – 1) 200 = 7000 – 5000
⇒ (n – 1) 200 = 2000
⇒ (n- 1) = 10
⇒ n = 11
⇒ 1995 + 11 = 2006
Hence, in 2006 Subba Rao’s income will reach ₹ 7000.
Question 20.
Ramkali saved ₹ 5 in the first week of a year and then increased her weekly saving by ₹ 1.75. If in the nth week, her weekly saving become ₹ 20.75, find n.
Solution:
Given: a = ₹ 5, d = ₹ 1.75
an = ₹ 20.75
a + (n – 1) d – 20.75
⇒ 5 + (n – 1) 1.75 = 20.75
⇒ (n – 1) x 1.75 = 20.75 – 5
⇒ (n – 1) 1.75 = 15.75
⇒ n – 1 = 9
⇒ n = 9 + 1
⇒ n = 10
Hence, in 10th week Ramkali’s saving will be ₹ 20.75.
Question 1.
Find the sum of the following APs:
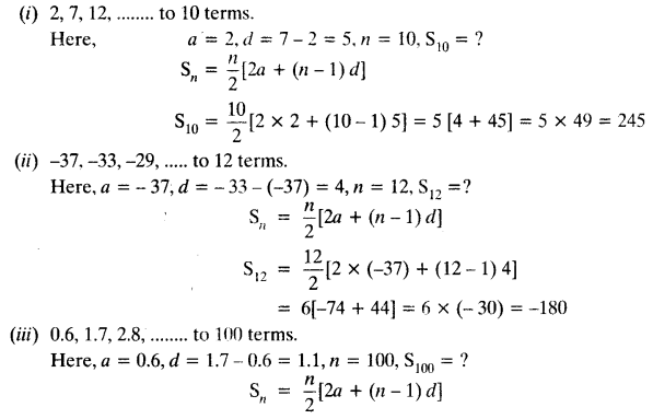
(i) 2, 7, 12,…… to 10 terms.
(ii) -37, -33, -29, …… to 12 terms.
(iii) 0.6, 1.7, 2.8, ……, to 100 terms.
(iv)
Solution:


Question 2.
Find the sums given below:
(i) 7 + 10
(ii) 34 + 32 + 30 + … + 10
(iii) -5 + (-8) + (-11) + ….. + (-230)
Solution:

Question 3.
In an AP:
(i) given a = 5, d = 3, an = 50, find n and Sn.
(ii) given a = 7, a13 = 35, find d and S13.
(iii) given a12 = 37, d = 3, find a and S12.
(iv) given a3 = -15, S10 = 125, find d and a10.
(v) given d = 5, S9 = 75, find a and a9.
(vi) given a = 2, d = 8, Sn = 90, find n and an.
(vii) given a = 8, an = 62, Sn = 210, find n and d.
(viii) given an = 4, d = 2, Sn = -14, find n and a.
(ix) given a = 3, n = 8, S = 192, find d.
(x) given l = 28, S = 144, and there are total 9 terms. Find a.
Solution:




Question 4.
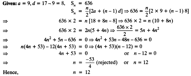
How many terms of AP: 9, 17, 25, … must be taken to give a sum of 636?
Solution:

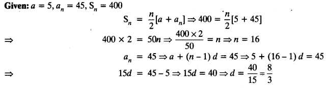
Question 5.
The first term of an AP is 5, the last term is 45 and the sum is 400. Find the number of terms and the common difference.
Solution:

Question 6.
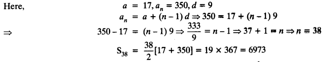
The first and the last terms of an AP are 17 and 350 respectively. If the common difference is 9, how many terms are there and what is their sum?
Solution:

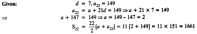
Question 7.
Find the sum of first 22 terms of an AP in which d = 7 and 22nd term is 149.
Solution:

Question 8.
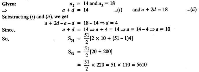
Find the sum of first 51 terms of an AP whose second and third terms are 14 and 18 respectively.
Solution:

Question 9.
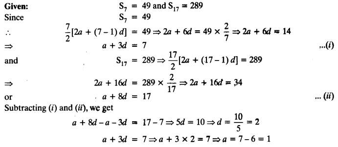
If the sum of first 7 terms of an AP is 49 and that of 17 terms is 289, find the sum of first n terms.
Solution:


Question 10.
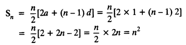
Show that a1, a2, ……. an,…… form an AP where an is defined as below:
(i) an = 3 + 4n
(ii) an = 9 – 5n
Also find the sum of the first 15 terms in each case.
Solution:

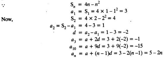
Question 11.
If the sum of the first n terms of an AP is 4n – n2, what is the first term (that is S1)? What is the sum of first two terms? What is the second term? Similarly, find the 3rd, the 10th and the nth terms.
Solution:

Question 12.
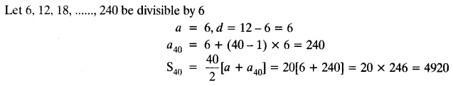
Find the sum of the first 40 positive integers divisible by 6.
Solution:

Question 13.
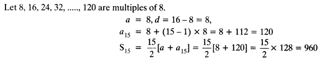
Find the sum of the first 15 multiples of 8.
Solution:

Question 14.
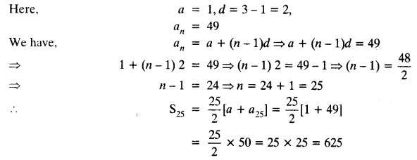
Find the sum of the odd numbers between 0 and 50.
Solution:
Let odd numbers between 0 and 50 be 1, 3, 5, 7,…….., 49.

Question 15.
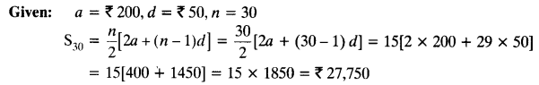
A contract on construction job specifies a penalty for delay of completion beyond a certain date as follows:
₹ 200 for the first day, ₹ 250 for the second day, ₹ 300 for the third day, etc. the penalty for each succeeding day being ₹ 50 more than for the preceding day. How much money the contractor has to pay as penalty, if he has delayed the work by 30 days?
Solution:

Question 16.
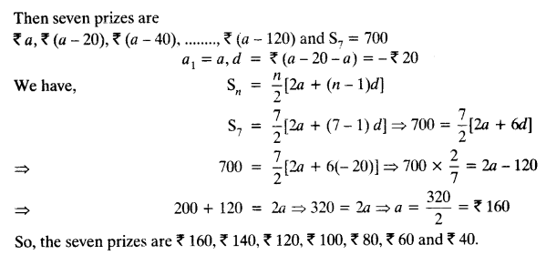
A sum of ₹ 700 is to be used to give seven cash prizes to students of a school for their overall academic performance. If each prize is ₹ 20 less than its preceding prize, find the value of each of the prizes.
Solution:
Let 1st prize be of ₹ a
2nd prize be ₹ (a – 20) and
3rd prize be ₹ (a – 20 – 20) = ₹ (a – 40)

Question 17.
In a school, students thought of planting trees in and around the school to reduce air pollution. It was decided that the number of trees, that each section of each class will plant, will be the same as the class, in which they are studying, eg. a section of Class I will plant 1 tree, a section of Class II will plant 2 trees and so on till Class XII. There are three sections of each class. How many trees will be planted by the students?
Solution:
Let the trees be planted 1, 2, 3, 4, 5 , …… 12
Here, a = 1, d = 1, n = 12
Total number of trees planted by each section
S12 =
= 6 [2 + 11] = 6 x 13 = 78
Total number of trees planted by 3 sections = 78 x 3 = 234
Question 18.
A spiral is made up of successive semicircles, with centres alternately at A and B, starting with centre at A, of radii 0.5 cm, 1.0 cm, 1.5 cm, 2.0 cm,… as shown in figure. What is the total length of such a spiral made up of thirteen consecutive semicircles?
(Take π =
[Hint: Length of successive semicircles is l1, l2, l3, l4, … with centres at A, B, respectively.]

Solution:

Question 19.
200 logs are stacked in the following manner 20 logs in the bottom row, 19 in the next row, 18 in the row next to it and so on (see Figure). In how many rows are the 200 logs placed and how many logs are in the top row?

Solution:

Question 20.
In a potato race, a bucket is placed at the starting point, which is 5 m from the first potato, and the other potatoes are placed 3 m apart in a straight line. There are ten potatoes in the line (see Fig.) A competitor starts from the bucket, picks up the nearest potato, runs back with it, drops it in the bucket, runs back to pick up the next potato, runs to the bucket to drop it in, and she continues in the same way until all the potatoes are in the bucket. What is the total distance the competitor has to run?
[Hint: To pick up the first potato and the second potato, the total distance (in metres) run by a competitor is 2 x 5 + 2 x (5 + 3)]

Solution:
Distance between the first potato and the bucket = 5 m
Distance between next 2 potatoes = 3 m each
So, series is 5 m, 8 m, 11 m,
Here, a = 5 m, d = (8 – 5) m = 3 m
Total distance travelled for 10 potatoes = 2 [5 + 8 + 11 + …….. + 10 terms]
= 2[
= 2[5{10 + 27}] = 2(37 x 5) = 37 x 10 = 370 m.
Question 1.
Which term of the AP: 121, 117. 113, ….., is its first negative term?
Solution:

Question 2.
The sum of the third term and the seventh term of an AP is 6 and their product is 8. Fibd the sum of first sixteen terms of the AP?
Solution:


Question 3.
A ladder has rungs 25 cm apart. The rungs decrease uniformly in length from 45 cm at the bottom to 25 at the top. If the top and the bottom rungs are
Solution:


Question 4.
The houses of a row are numbered consecutively from 1 to 49. Show that there is value of x such that the sum of the numbers of the houses preceding the house numbered x is equal to the sum of the numbers of the houses following it. Find this value of x.
Solution:


Question 5.
A small terrace at a football ground comprises of 15 steps each of which is 50 m long and built of solid concrete. Each step has a rise of
Solution:

