Getstudysolution is an online educational platform that allows students to access quality educational services and study materials at no cost.
Question 1.
Complete the last column of the table.

Solution:

Question 2.
Check whether the value given in the brackets is a solution to the given equation or not.
(a) n + 5 = 19 (n = 1)
(b) 7n + 5 = 19 (n = – 2)
(c) 7n + 5 = 19 (n = 2)
(d) 4p – 3 = 13 (p = 1)
(e) 4p – 3 = 13 (p = – 4)
(f) 4p – 3 = 13 (p = 0).
Solution:
(a) n + 5 = 19 (n = 1)
L.H.S. = n + 5 = 1 + 5 | when n = 1 = 5
R.H.S. = 19
∵ L.H.S. ≠ R.H.S.
∴ n = 1 is not a solution to the given equation n + 5 = 19.
(b) 7n + 5 = 19 (n = – 2)
L.H.S. = 7n + 5 = 7(- 2) + 5 | when n = – 2 = – 14 + 5 = – 9
R.H.S. = 19
∵ L.H.S. ≠ R.H.S.
∴ n = – 2 is not a solution to the given equation 7n + 5 = 19.
(c) 7n + 5 = 19 (n = 2)
L.H.S. = In + 5 = 7(2) + 5 | when n = 2 = 14 + 5 = 19 = R.H.S.
∴ n = 2 is a solution to the given equation 7n + 5 = 19.
(d) 4p – 3 = 13 (p = 1)
L.H.S. = 4p – 3 = 4(1) – 3 | when p = 1 = 4 – 3 = 1
R.H.S. = 13
∵ L.H.S. ≠ R.H.S.
∴ p = 1 is not a solution to the given equation 4p – 3 = 13.
(e) 4p – 3 = 13 (p = – 4)
L.H.S. = 4p – 3 = 4(- 4) – 3 , | when p = – 4 = – 16 – 3 = – 19
R.H.S. = 13
∵ L.H.S. ≠ R.H.S.
∴ p = – 4 is not a solution to the given equation
4p – 3 = 13.
(f) 4p – 3 = 13 (p = 0)
L.H.S. = 4 (p) – 3 = 4(0) – 3 | when p = 0 = 0 – 3 = – 3
R.H.S. = 13
∵ L.H.S. ≠ R.H.S.
∴ p = 0 is not a solution to the given equation 4p – 3 = 13.
Question 3.
Solve the following equations by trial and error method.
Solution:
(i) 5p + 2 = 17

So, p = 3 is the solution of the given equation 5p + 2 = 17.
(ii) 3m – 14 = 4

So, m = 6 is the solution of the given equation 3m – 14 = 4.
Question 4.
Write equations for the following statements.
Solution:
Question 5.
Write the following equations in statement forms:
Solution:
Question 6.
Set up an equation in the following cases:
Solution:
(i) Let the number of marbles with Parmit be m.
Then, 7 added to 5 times mis 5m + 7
It is given that 7 marbles more than five times the marble is 37. Thus, the equation obtained is 5m + 7 = 37.
(ii) Let Laxmi’s age be y years. Then, 4 added to 3 times y is 3y + 4
It is given that the father is 4 years older than 3 times Laxmi’s age. His age is 49years.
Then, we have the following equation : 3y + 4 = 49
(iii) Let the lowest marks be l. Then, twice the lowest marks plus 7 is 2l +7
It is given that, the highest marks 87 obtained by a student is twice the lowest marks plus 7.
So, we have the following equation : 2l + 7 = 87
(iv) Let the base angle be b. Then, the vertex angle = 2b.
Since, sum of the angles of a triangle is 180°
∴ b + b + 2b = 180°
⇒ 4b = 180°
which is the required equation.
Question 1.
Give first the step you will use to separate the variable and then solve the equation:
(a) x – 1 = 0
(b) x + 1 = 0
(c) x – 1 = 5
(e) y – 4 = – 7
(f) y – 4 = 4
(g) y + 4 = 4
(h) y + 4 = – 4
Solution:
(a) The given equation is x – 1 = 0
Add 1 to both sides,
x – 1 + 1 = 0 + 1 ⇒ x = 1
It is the required solution.
Check. Put the solution x = 1 back into the equation.
L.H.S. = x – 1 = 1 = 1 – 0 = R.H.S.
The solution is thus checked for its correctness.
(b) The given equation is x + 1 = 0
Subtract 1 from both sides, x + 1 – 1 = 0 – 1 ⇒ x = – 1
It is the required solution.
Check. Put the solution x = – 1 back into the equation.
L.H.S. = x + 1 = (-1)+1
= 0 = R.H.S.
The solution is thus checked for its correctness.
(c) The given equation is
x – 1 = 5
Add 1 to both sides,
x + 1 – 1 = 5 + 1 ⇒ x = 6
It is the required solution
Check. Put the solution x = 6 back into the equation.
L.H.S. = x – 1 = 6 – 1 = 5 = R.H.S.
The solution is thus checked for its correctness.
(d) The given equation is x + 6 = 2
Subtract 6 from both sides, x + 6 – 6 = 2 – 6 ⇒ x = – 4
It is the required solution.
Check. Put the solution x = – 4 back into the equation.
L.H.S. = x + 6 = – 4 + 6 = 2 = R.H.S.
The solution is thus checked for its correctness.
(e) The given equation is y – 4 = – 7
Add 4 to both sides, y – 4 + 4 = – 7 + 4 ⇒ y = – 3
It is the required solution.
Check. Put the solution
L.H.S. = y – 4 = – 3 – 4 = – 7 = R.H.S.
The solution is thus checked for its correctness.
(f) The given equation is y – 4 = 4
Add 4 to both sides,
y – 4 + 4 = 4 + 4 ⇒ y = 8
It is the required solution.
Check. Put the solution y = 8 back into the equation.
L.H.S. = y – 4 = 8 – 4 = 4 = R.H.S.
The solution is thus checked for its correctness.
(g) The given equation is y + 4 = 4
Subtract 4 from both sides, y + 4 – 4 = 4 – 4 ⇒ y = 0
It is the required solution.
Check. Put the solution y = 0 back into the equation.
L.H.S. =y + 4 = 0 + 4 = 4 = R.H.S.
The solution is thus checked for its correctness.
(h) The given equation is y + 4 = – 4
Subtract 4 from both sides, y + 4 – 4 = – 4 – 4 ⇒ y = -8
It is the required solution.
Check. Put the solution y = – 8 back into the equation.
L.H.S. = y + 4 = -8 + 4 = – 4 = R.H.S.
The solution is thus checked for its correctness.
Question 2.
Give first the step you will use to separate the variable and then solve the equation:
(a) 3l = 42
(b)
(c)
(d) 4x = 25
(e) 8y = 36
(f)
(g)
(h) 20t = – 10
Solution:






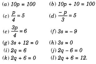
Question 3.
Give the steps you will use to separate the variable and then solve the equation :
(a) 3n – 2 = 46
(b) 5m + 7 = 17
(c)
(d)
Solution:





Question 4.
Solve the following equations:

Solution:







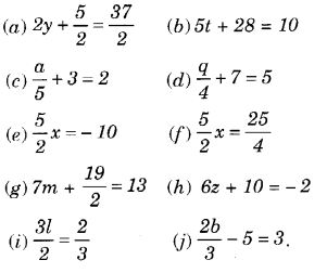
Question 1.
Solve the following equations:

Solution:









Question 2.
Solve the following equations:
(a) 2 (x + 4) = 12
(6) 3 (n – 5) = 21
(c) 3 (n – 5) = -21
(d) -4 (2 + x) = 8
(e) 4 (2 – x) = 8
Solution:



![]()
Question 3.
Solve the /bilowing equations:
(a) 4 = 5 (p – 2)
(b) -4 = 5 (p – 2)
(c) 16 = 4 + 3 (t + 2)
(d) 4 + 5 (p – 1) = 34
(e) 0 = 16 + 4 (m – 6)
Solution:






Question 4.
(a) Construct 3 equations starting with x = 2
(b) Construct 3 equations starting with x = – 2.
Solution:
(a) 1. Start with x = 2
Multiply both sides by 3, 3x = 6
Subtract 2 from both sides, 3x – 2 = 4 …(1)
2. Start with x = 2
Multiply both sides by 4, 4x = 8
Add 5 to both sides, 4x + 5 = 13 …(2)
3. Start with x = 2 Multiply both sides by 5 5x = 10
Subtract 1 from both sides, 5x – 1 = 9 …(3)
(b) First equation:
Start with x = -2
Multiply both sides by 2, 2x = -4
Subtract 3 from both sides, 2x – 3 = -7
Second equation:
Start with x = – 2
Multiply both sides by – 5, – 5x = 10
Add 10 to both sides, 10 – 5x = 20
Third equation:
Start with x = -2
Divide both sides by 2,
Add 3 to both sides,
Question 1.
Set up equations and solve them to find the unknown numbers in the following cases:
(a) Add 4 to eight times a number; you get 60.
(b) One-fifth of a number minus 4 gives 3.
(c) If I take three-fourths of a number and add 3 to it, I get 21.
(d) I subtracted 11 from twice a number, the result was 15.
(e) Munna subtracts thrice the number of notebooks he has from 50, he finds the result to be 8.
(f) Ibenhal thinks of a number. If she adds 19 to it and divides the sum by 5, she will get 8.
(g) Anwar thinks of a number. If he takes away 7 from
Solution:



Question 2.
Solve the following:
(a) The teacher tells the class that the highest marks obtained by a student in her class are twice the lowest mark plus 7. The highest score is 87. What is the lowest score?
(b) In an isosceles triangle, the base angles are equal. The vertex angle is 40°. What are the base angles of the triangle? (Remember, the sum of three angles of a triangle is 180°).
(c) Sachin scored twice as many runs as Rahul. Together, their runs fell two short of a double century. How many runs did each one score?
Solution:


Question 3.
Solve the following:
Solution:

Question 4.
Solve the following riddle :
I am a number, Tell me my identity!
Take me seven times over And add a fifty!
To reach a triple century You still need forty!
Solution:
Let ‘x’ be the number,
Then, according to the question, we get (x × 7) + 50 = 300 – 40
7x + 50 = 260
7x = 210
x =
So, the number is 30.