Getstudysolution is an online educational platform that allows students to access quality educational services and study materials at no cost.
Question 1.
Check whether the following are quadratic equations:
(i) (x+ 1)2=2(x-3)
(ii) x – 2x = (- 2) (3-x)
(iii) (x – 2) (x + 1) = (x – 1) (x + 3)
(iv) (x – 3) (2x + 1) = x (x + 5)
(v) (2x – 1) (x – 3) = (x + 5) (x – 1)
(vi) x2 + 3x + 1 = (x – 2)2
(vii) (x + 2)3 = 2x(x2 – 1)
(viii) x3 -4x2 -x + 1 = (x-2)3
Solution:
(i) (x+ 1)2=2(x-3)
⇒ x2 + 2x +1 = 2x – 6
⇒ x2 + 2x – 2x+1 + 6 = 0
⇒ x2 + 7 = 0
⇒ x2 + 0x + 1 = 0
Which is of the form
ax2 + bx + c = 0
Hence, the given equation is a quadratic equation.
(ii) x2 – 2x = (- 2) (3 -x)
⇒ x2 -2x = -6 + 2x
⇒ x2 -4x + 6 = 0
Which is of the form
ax2 + bx + c = 0
Hence, the given equation is a quadratic equation.
(iii) (x – 2) (x + 1) = (x – 1) (x + 3)
⇒ x2 + x-2x-2 = x2 + 3x-x -3
⇒ x2 + x – 2x – 2 = x2 – 3x + x + 3 = 0
⇒ – 3x + 1 = 0 ⇒ 3x – 1 = 0
Since degree of equation is 1, hence, given equation is not a quadratic equation.
(iv) (x-3) (2x+ 1) = x (x + 5)
⇒ 2x2 + x – 6x – 3 = x2 + 5x
2x2 + x – 6x – 3-x2 – 5x = 0
⇒ x2 – 10x -3 = 0
Which is of the form
ax2 + bx + c 0
Hence, the given equation is a quadratic equation.
(v) (2x-1)(x-3) = (x + 5)(x-1)
⇒ 2x2 – 6x-x + 3 = x2 -x + 5x – 5
2x2 – 6x-x + 3 = x2 + x – 5x + 5 = 0
⇒ x2 – 11x + 8 = 0
Which is of the form
ax2 + bx + c = 0
Hence, the given equation is a quadratic equation.
(vi) x2 + 3x + 1 = (x-2)2
⇒ x2 + 3x + 1 = x2 + 4 – 4x
⇒ x2 + 3x + 1 = x2– 4 + 4c = 0
⇒ 7x – 3 = 0
Since degree of equation is 1, hence, the given equation is not a quadratic equation,
(vii) (x + 2)3 = 2x (x2 – 1)
⇒ x3 + 8 + 3.x.2 (x + 2) = 2x3 – 2x
⇒ x3 + 8 + 6x2 + 12x = 2x3 – 2x
⇒ x3 – 6x2 – 14x – 8 = 0
Which is not of the form
ax2 + bx + c = 0
Hence, the given equation is not a quadratic equation.
(viii) x3 – 4x2 – x+1 = (x-2)3
⇒ x3 – 4x2 – x + 1 = x3-8 + 3x(-2)(x – 2)
⇒ x3 – 4x2 -x + 1 = x3 – 6x2 + 12x – 8
⇒ 2x2 – 13x + 9 = 0
Which is of the form
ax2 + bx + c = 0
Hence, the given equation is a quadratic equation.
Question 2.
Represent the following situations in the form of quadratic equations:
(i) The area of a rectangular plot is 528 m2. The length of the plot (in metres) is one more than twice its breadth. We need to find the length and breadth of the plot.
(ii) The product of two consecutive positive integers is 306. We need to find the integers.
(iii) Rohan’s mother is 26 years older than him. The product of their ages (in years) 3 years from now will be 360. We would like to find Rohan’s present age.
(iv) A train travels a distance of 480 km at a uniform speed. If the speed had been 8 km/h less, then it would have taken 3 hours more to cover the same distance. We need to find the speed of the train.
Solution:
(i) Let breadth of the rectangular plot = x m
Then, length of the plot = (2x + 1)m
Area of a rectangular plot = l x b ,
⇒ 528 (2x + 1)x
⇒ 528 = 2x2 +x
⇒ 2x2 + x – 528 = 0
Which is the required quadratic equation.
(ii) Let the two consecutive integers be x and x + 1
Then, x(x+l) = 306
⇒ x2 +x-306 = 0
Which is the required quadratic equation.
(iii) Let the present age of Rohan = x years
Rohan’s mother’s present age = (x + 26) years
After 3 years, Rohan’s age = (x + 3) years
After 3 years, Rohan’s mother’s age = (x + 26 + 3) years
According to question,
(x + 3) (x + 29) = 360
⇒ x2 + 29x + 3x + 87 – 360 = 0
⇒ x2 + 32x – 273 = 0
Which is the required quadratic equation.
(iv) Let speed of the train = x km/h

Question 1.
Find the roots of the following quadratic equations by factorisation:
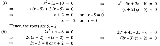
(i) x2 -3x – 10 = 0
(ii) 2x2 + x – 6 = 0
(iii) √2x2 + 7x + 5√2 = 0
(iv) 2x2 – x +
(v) 100 x2 – 20 X + 1 = 0
Solution:


Question 2.
Solve the following situations mathematically:
(i) John and Jivanti together have 45 marbles. Both of them lost 5 marbles each and the product of the number of marbles they now have is 124. We would like to find out how many marbles they had to start with.
(ii) A cottage industry produces a certain number of toys in a day. The cost of production of each toy (in rupees) was found to be 55 minus the number of toys produced in a day. On a particular day, the total cost of production was ₹750. We would like to find out the number of toys produced on that day.
Solution:
(i) Let the number of marbles John had be x
Then, the number of marbles Jivanti had = 45 -x
The number of marbles left with John, when he lost 5 marbles = x – 5
The number of marbles left with Jivanti, when she lost 5 marbles = 45 -x – 5 = 40 -x

Question 3.
Find two numbers whose sum is 27 and product is 182.
Solution:
Let one number = x ,
∴ other number = 21 -x
According to question,

Question 4.
Find two consecutive positive integers, sum of whose squares is 365.
Solution:
Let the two consecutive integers be x and x + 1.
According to question,

Ex 4.2 Class 10 Question 5.
The altitude of a right triangle is 7 cm less than its base. If the hypotenuse is 13 cm, find the other two sides.
Solution:
Let base = x cm,
∴ height = (x – 7) cm
By Pythagoras Theorem,
(base)² + (height)² = (hypotenuse)²

Ex 4.2 Class 10 Question 6.
A cottage industry produces a certain number of pottery articles in a day. It was observed on a particular day that the cost of production of each article (in rupees) was 3 more than twice the number of articles produced on that day. If the total cost of production on that day was ₹90, find the number of articles produced and the cost of each article.
Solution:

Question 1.
Find the roots of the following quadratic equations, if they exist, by the method of completing the square:
(i) 2x2 – 7x + 3 = 0
(ii) 2x2 + x – 4 = 0
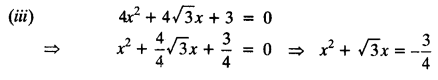
(iii) 4x2 + 4√3x + 3 = 0
(iv) 2x2 + x + 4 = 0
Solution:




Question 2.
Find the roots of the quadratic equations by applying the quadratic formula.
(i) 2x2 – 7x + 3 = 0
(ii) 2x2 – x + 4 = 0
(iii) 4x2 – 4√3x + 3 = 0
(iv) 2x2 – x + 4 = 0
Solution:
(i) 2x2 – 7x + 3 = 0
This is of the form ax2 + bx + c = 0,
where a = 2, b = -7 and c = 3


(ii) 2x2 – x + 4 = 0
This is of the form ax2 + bx + c = 0,
where a = 2, b = 1 and c = – 4

(iii) 4x2 – 4√3x + 3 = 0

(iv) 2x2 – x + 4 = 0

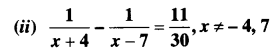
Question 3.
Find the roots of the following equations:
![]()

Solution:

Question 4.
The sum of the reciprocals of Rehman’s ages, (in years) 3 years ago and 5 years from now is
Solution:
Let the present age of Rehman be x years
3 years ago Rehman’s age was = (x – 3) years
5 years from now Rehman’s age will be = (x + 5) years

Question 5.
In a class test, the sum of Shefali’s marks in Mathematics and English is 30. Had she got 2 marks more in Mathematics and 3 marks less in English, the product of their marks would have been 210. Find her marks in the two subjects.
Solution:
Let the marks secured by Shefali in Mathematics = x Then,
According to question,

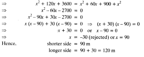
Question 6.
The diagonal of a rectangular field is 60 metres more than the shorter side. If the longer side is 30 metres more than the shorter side, find the sides of the field.
Solution:
Let the shorter side of rectangle = x m
Then, longer side = (x + 30) m and diagonal = (x + 60) m
In ΔABC, (x + 60)2 = (x + 30)2 + (x)2 [Pythagoras Theorem]


Question 7.
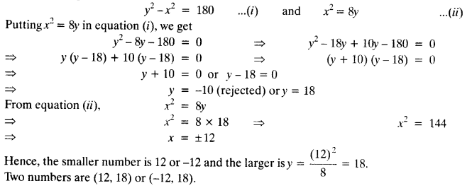
The difference of squares of two numbers is 180. The square of the smaller number is 8 times the larger number. Find the two numbers.
Solution:
Let the smaller number = x
and the larger number = y
According to question,

Question 8.
A train travels 360 km at a uniform speed. If the speed had been 5 km/h more, it would have taken 1 hour less for the same journey. Find the speed of the train.
Solution:
Total distance travelled = 360 km
Let uniform speed be x km/h
Then, increased speed = (x + 5) km/h
According to question,

Question 9.
Two water taps together can fill a tank in 9
Solution:
Let larger pipe fills the tank in x hours and the smaller pipe fills the tank in y hours.
The tank filled by the larger pipe in 1 hour =

Question 10.
An express train takes 1 hour less than a passenger train to travel 132 km between Mysore and Bengaluru (without taking into consideration the time they stop at intermediate stations). If the average speed of the express train is 11 km/h more than that of the passenger train, find the average speed of the two trains.
Solution:
Let the speed of passenger train = x km/h
Then, the speed of express train be (x + 11) km/h
According to question,

Question 11.
Sum of the areas of two squares is 468 m2. If the difference of their perimeters is 24 m, find the sides of the two squares.
Solution:
Let the sides of two squares be x m and y m
According to question,

Question 1.
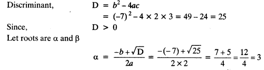
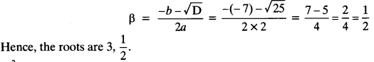
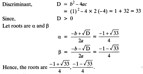
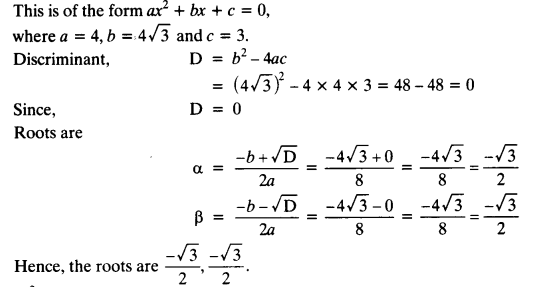
Find the nature of the roots of the following quadratic equations. If the real roots exist, find them:
(i) 2x² -3x + 5 = 0
(ii) 3x2 – 4√3x + 4 = 0
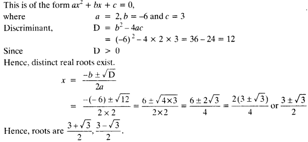
(iii) 2x2-6x + 3 = 0
Solution:
(i) 2x2 – 3x + 5 = 0
This is of the form ax2 + bx + c = 0,
where a = 2, b = -3 and c = 5
Discriminant, D = b2-4ac
= (-3) 2-4 x 2 x 5 = 9 – 40 = -31
Since, D < 0
Hence, no real roots exist.
(ii) 3x2 – 4√3x + 4 = 0

(iii) 2x2-6x + 3 = 0

Question 2.
Find the values of k for each of the following quadratic equations, so that they have two equal roots.
(1) 2x2 + kx + 3 = 0
(2) kx (x – 2) + 6 = 0
Solution:

Question 3.
Is it possible to design a rectangular mango grove whose length is twice its breadth, and the area is 800 m2? If so, find its length and breadth.
Solution:
Let breadth of the rectangular mango grove be x m
Then, the length of rectangular mango grove be 2xm
According to question,
x x 2x = 800
⇒ 2x2 = 800
⇒ x2 = 400
⇒ x = ±20 [-20 is rejected]
Hence, breadth = 20 m and length = 2 x 20 = 40 m
So, it is possible to design a rectangular mango grove whose length is twice its breadth.
Question 4.
Is the following situation possible? If so, determine their present ages.
The sum of the ages of two friends is 20 years. Four years ago, the product of their ages in years was 48.
Solution:
Let the present age of one friend be x years
Then, the present age of other friend be (20 -x) years
4 years ago, one friend’s age was (x – 4) years
4 years ago, other friend’s age was (20 -x – 4) = (16 -x) years
According to question,
(x-4) (16-x) = 48
⇒ 16x – x2 – 64 + 4x = 48
⇒ x2 – 20x + 112 = 0
This is of the form ax2 + bx + c = 0, where, a = 1, b = -20 and c = 112
Discriminant, D = b2 – 4ac
= (-20)2 – 4 x 1 x 112 = 400 – 448 = – 48 < 0
Since, no real roots exist.
So, the given situation is not possible.
Question 5.
Is it possible to design a rectangular park of perimeter 80 m and area 400 m2? If so, find its length and breadth.
Solution:
Let the length of rectangular park be x m and breadth be y m.
Given: area = 400 m2
