Getstudysolution is an online educational platform that allows students to access quality educational services and study materials at no cost.
Question 1.
Aftab tells his daughter, “Seven years ago, I was seven times as old as you were then. Also, three years from now, I shall be three times as old as you will be.” (Isn’t this interesting)? Represent this situation algebraically and graphically.
Solution:
Let present age of Aftab = x years and present age of Aftab’s daughter = y years.

1st Condition :
Seven years ago
x – 7 = 7(y – 7)
⇒ x – 7 = 7y – 49
⇒ x – 7y = – 42
Table :

2nd Condition :
Three years later,
x + 3 = 3(y + 3)
x + 3 = 3y + 9
x – 3y = 6
Table :

Thus, the algebraic equations are
x – 7y + 42 = 0 and x – 3y – 6 = 0
Question 2.
The coach of a cricket team buys 3 bats and 6 balls for ₹ 3900. Later, she buys another bat and 3 more balls of the same kind for ₹ 1300. Represent this situation algebraically and geometrically.
Solution:
Let cost of one bat = ₹ x
and the cost of one ball = ₹y
A.T.Q.
1st Condition :
3x + 6y = 3900
Table :

2nd Condition :
x + 3y = 1300
Table :

Thus, the algebraic equations are 3x + 6y = 3900 and x + 3y – 1300

Question 3.
The cost of 2 kg of apples and 1 kg of grapes on a day was found to be ₹ 160. After a month, the cost of 4 kg of apples and 2 kg of grapes is ₹ 300. Represent the situation algebraically and geometrically.
Solution:
Let cost of one kg of apples = ₹ x and the cost of one kg of grapes = ₹y

A.T.Q.
1st Condition :
2x + y = 160
Table :

2nd Condition :
4x + 2y = 300
Table :

Thus, algebraic situations are 2x + y = 160 and 4x + 2y = 300
Question 1.
Find the zeroes of the following quadratic Pair of Linear Equations in Two Variables and verify the relationship between the zeroes and the coefficients.
(i) x2 – 2x – 8
(ii) 4s2 – 4s + 1
(iii) 6x2 – 3 – 7x
(iv) 4u2 + 8u
(v) t2 -15
(vi) 3x2 – x – 4
Solution:




Question 2.
Find a quadratic polynomial each with the given numbers as the sum and product of its zeroes respectively.

Solution:
(i) Zeroes of polynomial are not given, sum of zeroes =
If ax2 + bx + c is a quadratic polynomial, then
α + β = sum of zeroes =
Quadratic polynomial is ax2 + bx + c
Let a = k, ∴ b =
Putting these values, we get
![]()
For different values of k, we can have quadratic Pair of Linear Equations in Two Variables all having sum of zeroes as
(ii) Sum of zeroes = α + β = √2 =
Quadratic polynomial is ax2 + bx + c
Let a = k,b = -√2k and c =
Putting these values we get

For all different real values of k, we can have different quadratic Pair of Linear Equations in Two Variables of the form 3×2 – 3√2x +1 having sum of zeroes = √2 and product of zeroes =
(iii) Sum of zeroes = α + β = 0 =
Let quadratic polynomial is ax2 + bx + c
Let a = k,b = 0, c = √5 k
Putting these values, we get
k[x2 – 0x + √5 ] = k(x2 + √5).
For different real values of k, we can have different quadratic Pair of Linear Equations in Two Variables of the form
x2 + √5, having sum of zeroes = 0 and product of zeroes = √5
(iv) Sum of zeroes = α + β = 1=
Let quadratic polynomial is ax2 + bx + c.
Let a=k, c = k, b = -k
Putting these values, we get k[x2 -x +1]
Quadratic polynomial is of the form x2 -x + 1 for different values of k.
(v) Sum of zeroes = α + β =
Let quadratic polynomial is ax2 + bx + c
Let a=k, b=
Putting these values, we get k
![]()
Quadratic polynomial is of the form 4x2 +x + 1 for different values of k.
(vi) Sum of zeroes = α + β = 4 =
Let quadratic polynomial is ax2 + bx + c
Let a = k,b = -4k and c = k
Putting these values, we get
k[x2 – 4x + 1]
Quadratic polynomial is of the form x2 – 4x + 1 for different values of k.
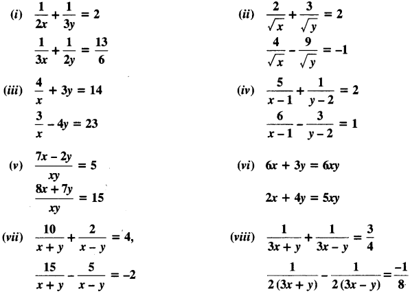
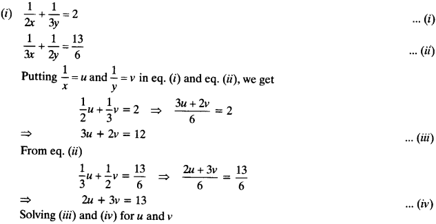
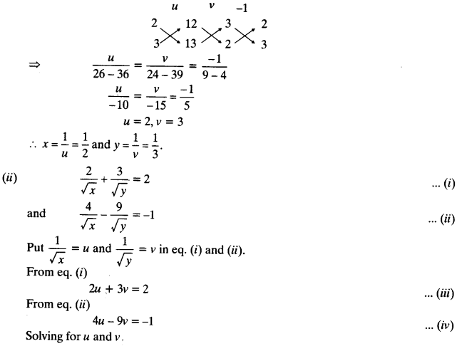
Question 1.
Solve the following pair of linear equations by the substitution method,
(i) x + y = 14, x – y = 4
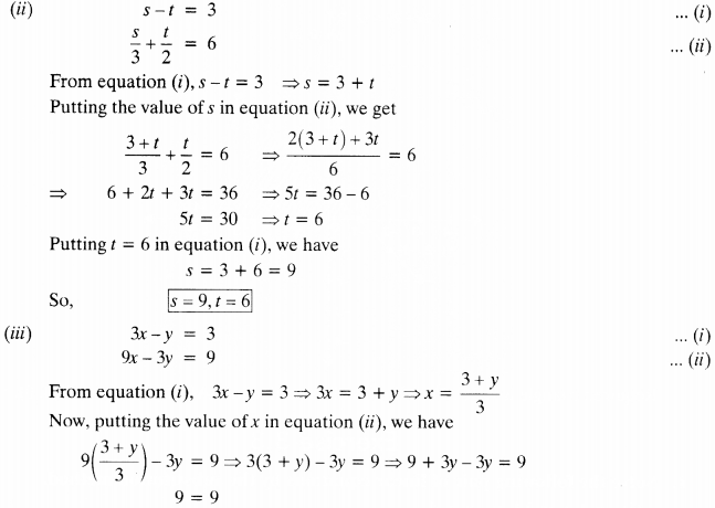
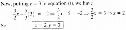
(ii) s – t = 3, s/3 + t/2 = 6
(iii) 3x – y = 3, 9x – 3y = 9
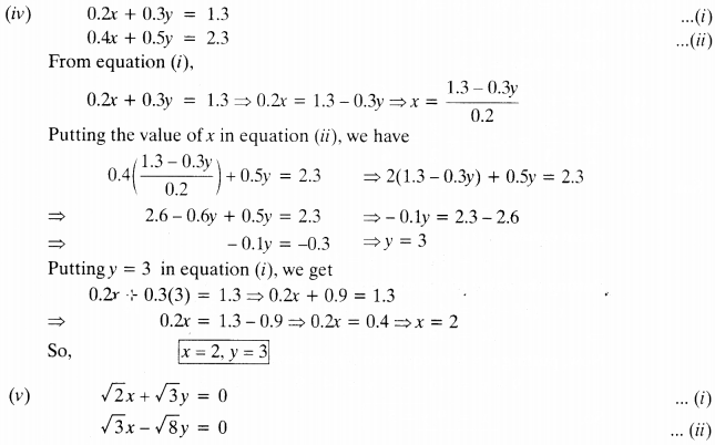
(iv) 0.2x + 0.3y = 1.3, 0.4x + 0.5y = 2.3

Solution:
From equation (i),
x + y – 14 ⇒ y = 14x
Putting the value ofy in equation (ii), we get
x – (14 – x) = 4 ⇒ x – 14 + x = 4 ⇒ 2x = 4 + 14
2x = 18 ⇒ x = 9
Now, puttingx = 9 in equation (i), we have
9 + y = 14 ⇒ y = 14 – 9 ⇒ y = 5
so, x = 9, y = 5

∴ y can have infinite real values
∴ x can have infinite real values because x =



Question 2.
Solve 2x + 3y = 11 and 2x – 4y = – 24 and hence find the value of ‘m’ for which y = mx + 3.
Solution:
Equations are 2x + 3y = 11
and 2x – 4y = -24
From equation (i)
2x = 11 – 3y
Putting this value in equation (ii), we get
11 – 3y – 4y = -24 ⇒ 11 – 7y = -24 ⇒ – 7y = – 35
y =
Putting y = 5 in equation (i). we have
2x + 3 x 5 = 11 ⇒ 2x + 15 = 11 ⇒ 2x = 11 – 15 ⇒ 2x = -4 ⇒ x = -2
Now. putting the value of x andy in equation
y = mx + 3 ⇒ 5 = -2m + 3 ⇒ 2 = -2m ⇒ m = -1
Question 3.
Form the pair of linear equations for the following problems and find their solution by substitution method.
(i) The difference between two numbers is 26 and one number is three times the other. Find them.
(ii) The larger of two supplementary angles exceeds the smaller by 18 degrees. Find them.
(iii) The coach of a cricket team buys 7 bats and 6 balls for ₹ 3800. Later, she buys 3 bats and 5 balls for ₹ 1750. Find the cost of each bat and each ball,
(iv) The taxi charges in a city consist of a fixed charge together with the charge for the distance covered. For a distance of 10 km, the charge paid is ₹ 105 and for a journey of 15 km, the charge paid is ₹ 155. What are the fixed charges and the charge per km₹ How much does a person have to pay for travelling a distance of 25 km₹
(v) A fraction becomes 9/2, if 2 is added to both the numerator and the denominator. If, 3 is added to both the numerator and denominator it becomes 5/6, Find the fraction.
(vi) Five years hence, the age of Jacob will be three times that of his son. Five years ago, Jacob’s age was seven times that of his son. What are their present ages?
Solution:
(i) Let 1st number be x and 2nd number be y.
Let x >y
1st condition :
x – y = 26
2nd condition :
x = 3y
Putting x = 3y in equation (i)
3y – y = 26 ⇒ 2y = 26 ⇒ y = 13
From (ii)
x = 3 x 13 = 39
∴ One number is 13 and the other number is 39.
(ii) Let one angle be x and its supplementary angle = y
Let x > y
1st Condition :
x + y = 180°
2nd Condition :
x – y = 18° ⇒ X = 18° + y
From equation (ii), putting the value ofx in equation (i),
18° + y + y = 180° ⇒ 18° + 2y = 180°
2y = 162° ⇒ y = 81°
From (ii) x = 18° + 81° = 99° ⇒ x = 99°
∴ One angle is 81° and another angle is 99°.
(iii) Let cost of 1 bat = ₹x and cost of 1 ball = ₹y
1st Condition:
7x + 6y = 3800
2nd Condition:
3x + 5y = 1750
From equation (ii), we get

putting x = 1750-5y/3 in equation (i), we get
Cost of one bat = ₹ 500 and cost of one ball = ₹ 50.
(iv) Let fixed charges be ₹.v and charge for per km be ₹y.
A.T.Q.
1st Condition :
x + lOy = 105
2nd Condition :
x + 15y = 155
From equation (i), we get
x= 105 – 10y
Putting this value in equation (ii), we have
105 – 10y + 15y = 155 ⇒ 105 + 5y = 155
⇒ 5y = 155 – 105 ⇒ 5y = 50 ⇒ y = 10
Now, puttingy = 10 in equation (i), we have
x + 10(10) = 105 ⇒ x + 100 = 105 ⇒ x = 5
Fixed charges is ₹ 5 and charges per km is ₹ 10.
3rd Condition :
For distance of 25 km
x + 25y = 5 + 25(10) = 5 + 250 = 255
Amount paid for travelling 25 km is ₹ 255.
(v) Let numerator be x and denominator be y.
∴ Fraction is x/y
A.T.Q.
1st condition :

2nd condition :

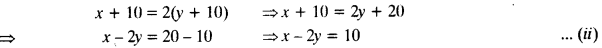
(vi) Let present age of Jacob be x years and that of his son bey years.
A.T.Q.
1st Condition :
x + 5 = 3(y + 5) ⇒ x + 5 = 3y + 15 ⇒ x – 3y = 15 – 5 ⇒ x – 3y = 10
2nd Condition:
x – 5 = 7(y – 5) ⇒ x – 5 = 7y – 35 ⇒ x = 7y – 35 + 5
⇒ x = 7y – 30
Putting the value of ‘x’ in equation (i), we get
7y – 30 – 3y = 10
4y – 30 = 10
4y = 40 y = 10 ⇒ y = 10
putting the value of y in equation(ii), we get
x = 7(10) – 30 = 70 – 30 ⇒ x = 40
Hence, the present age of Jacob is 40 years and that of his son is 10 years.
Question 1.
Solve the following pair of linear equations by the elimination method and the substitution
(i) x + y = 5 and 2x – 3y = 4
(ii) 3x + 4y = 10 and 2x – 2y = 2
(iii) 3x – 5y – 4 = 0 and 9x = 2y + 7
(iv) x/2 + 2y/3 = -1 and x – y/3 = 3
Solution:
(i) By Elimination Method:
Fquations are x + y = 5
and 2x – 3y = 4
Multiply equation (i) by 2 and subtract equation (ii) from it, we have

(ii) By Elimination method:
Equations are 3x + 4y = 10
and 2x – 2y = 2
Multiplying equation (ii) by 2 and adding to equation (i), we

(iii) By Elimination Method:


(iv) By Elimination Method:
1st equation :


Question 2.
Form the pair of linear equations in the following problems, and find their solutions (if they exist) by the elimination method:
(i) If we add 1 to the numerator and subtract 1 from the denominator, a fraction reduces to 1. It becomes – if we only add 1 to the denominator. What is the fraction₹
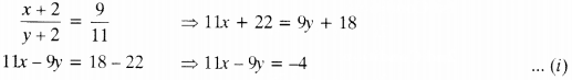
(ii) Five years ago, Nuri was thrice as old as Sonu. Ten years later, Nuri will be twice as old as Sonu. How old are Nuri and Sonu₹
(iii) The sum of the digits of a two-digit number is 9. Also, nine times this number is twice the number obtained by reversing the order of the digits. Find the number.
(iv) Meena went to a bank to withdraw ₹ 2000. She asked the cashier to give her ₹ 50 and ₹ 100 notes only. Meena got 25 notes in all. Find how many notes of ₹ 50 and ₹ 100 she received.
(v) A lending library has a fixed charge for the first three days and an additional charge for each day thereafter. Saritha paid ₹ 27 for a book kept for seven days, while Susy paid ₹ 21 for the book she kept for five days. Find the fixed charge and the charge for each extra day.
Solution:
(i) Let numerator be x and denominator be y.
Fraction = x/y
A.T.Q.


(ii) Let present age of Nuri be x years and Sonu’s present age bey years.
A.T.Q.
1st Condition :
![]()
2nd Condition :
![]()
Subtractomg equation (ii) from equetion (i), we get

Hence, present age of Nuri is 50 years and sonu’s present age is 20 years.
(iii) Let digit at unit place = x and digit at ten’s place = y.
Two digit number is lOy + x
A.T.Q.
1st Condition :
x + y = 9
2nd Condition :
9(10y + x) = 2(10k + y) ⇒ 90y + 9x = 20x + 2y
⇒ 88y – 11x = 0 ⇒ -11y + 88y = 0
⇒ -x + 8y = 0
Adding equestion (i) and (ii), we get

(iv) Let the number of notes of ₹ 50 = x and the number of notes of ₹ 100 = y
A.T.Q
1st Condition :
50x + 100y = 2000
⇒ x + 2y = 40
2nd Condition :

(v) Let, fixed charge for first 3 days be ₹ x and additional charge per day after 3 days be y.
A.T.Q.
1st Condition : as per Saritha
x + 4y = 27
2nd Condition : as per Susy

Putting y = 3 in equation (i),
x + 4(3) = 27 ⇒ x + 12 = 27 ⇒ x = 15
Hence, fixed charge is ₹ 15 and charge for each extra day is ₹ 3.
Question 1.
Which of the following pairs of linear equations has unique solution, no solution, or infinitely many solutions. In case there is a unique solution, find it by using cross multiplication method.
(i) x – 3y – 3 = 0
3x – 9y – 2 = 0
(ii) 2x + y = 5
3x + 2y = 8
(iii) 3x – Sy = 20
6x – 10y = 40
(iv) x – 3y – 7 = 0
3x – 3y – 15 = 0
Solution:

(iii) Equations are 3x – 5y = 20 and 6x – 10y = 40
Here,


(iv) Equations are x – 3y = 7 and 3x – 3y = 15

Question 2.
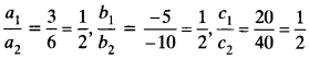
(i) for which values of a and b does the following pai of linea equation have an infinite number of solutions₹
2x + 3y =7
(a – b)x + (a + b)y = 3a + b – 2
(ii) For which value of K will the following pair of linear equation have no solution₹
3x + y = 1
(2k – 1)x + (k – 1)y = 2k + 1
Solution:
(i) Equations are

⇒ a – 2b = 3 Solving (iii) and (iv) for a and b
By cross multiplication method.

Question 3.
Solve the following pair of linear equations by the substitution and cross-multiplication methods:
8x + 5y = 9
3x + 2y = 4
Solution:
Equations are

By coss multiplication Method :
Equations are

Question 4.
Form the pair of linear equations in the following problems and find their solutions (if they exist) by any algebraic method:
(i) A part of monthly hostel charges is fixed and the remaining depends on the number of days one has taken food in the mess. When a student A takes food for 20 days she has to pay ₹ 1000 as hostel charges whereas a student B, who takes food for 26 days, pays ₹ 1180 as hostel charges. Find the fixed charges and the cost of food per day.
(ii) A fraction becomes 1/3 when 1 is subtracted from the numerator and it becomes 1/4 when 8 is added to its denominator. Find the fraction.
(iii) Yash scored 40 marks in a test, getting 3 marks for each right answer and losing 1 mark for each wrong answer. Had 4 marks been awarded for each correct answer and 2 marks been deducted for each incorrect answer, then Yash would have scored 50 marks. How many questions were there in the test₹
(iv) Places A and B are 100 km apart on a highway. One car starts from A and another from B at the same time. If the cars travel in the same direction at different speeds, they meet in 5 hours. If they travel towards each other, they meet in 1 hour. What are the speeds of the two cars ₹
(v) The area of a rectangle gets reduced by 9 square units, if its length is reduced by 5 units and breadth is increased by 3 units. If we increase the length by 3 units and the breadth by 2 units, the area increases by 67 square units. Find the dimensions of the rectangle.
Solution:
(i) Let fixed monthly hostel charges = and charges per day = ₹ y
A.T.Q.
As per condition of student A
x + 20y = 1000
As per condition of student B
x + 26y = 1180
By cross multiplication method

∴ Fixed monthly hostel charges = ₹ 400 and charges per day = ₹ 30

By cross multiplication method

Solving (i) and (ii) for x and y
By cross multiplication method

By cross multiplication method


Question 1.
Solve the following pairs of equations by reducing them to a pair of linear equations:

Solution:

By cross multiplication method

By cross multiplication method


By cross multiplication method

By cross multiplication method


solving for u and v by cross multiplication method:

By cross multiplication method:


By cross multiplication method:



Question 2.
Formulate the following problems as a pair of equations, and hence find their solutions:
(i) Ritu can row’ downstream 20 km in 2 hours, and upstream 4 km in 2 hours. Find her speed of rowing in still water and the speed of the current.
(ii) 2 women and 5 men can together finish an embroidery work in 4 days, while 3 women and 6 men can finish it in 3 days. Find the time taken by 1 woman alone to finish the work, and also that taken by 1 man alone.
(iii) Roohi travels 300 km to her home partly by train and partly by bus. She takes 4 hours if she travels 60 km by train and the remaining by bus. If she travels 100 km by train and the remaining by bus, she takes 10 minutes longer. Find the speed of the train and the bus separately.
Solution:
(i) Let Ritu’s speed in still water = x km/h
Speed of current = y km/h
During downstream, speed = (x + y) km/h
During upstream, speed = (x -y) km/h
A.T.Q.
1st condition :
x + y = 20/2 ⇒ x + y = 10
2nd condition :


Time taken by 1 woman to finish the work = 18 days.
Time taken by 1 man to finish the work = 36 days.
(iii) Let speed of train = x km/h and Speed of bus = y km/h
Total distance = 300 km
A.T.Q.
1st condition :
![]()
2nd condition :

Question 1.
The age of two friends Ani and Biju differ by 3 years. Ani’s father Dharam is twice as old as Ani and Biju is twice as old as his sister Cathy. The ages of Cathy and Dharam differ by 30 years. Find the ages of Ani and Biju.
Solution:
Let the ages of Ani and Biju be x years and y years respectively.
If Ani is older than Biju
x – y =3
If Biju is older than Ani
y – x = 3
-x + y =3 [Given]

Subtracting equation (i) from equation (ii), we get:
3x – 57
⇒ x = 19
Putting x = 19 in equation (i), we get
19-y = 3
⇒ y = 16
Again subtracting equation (iv) from equation (iii), we get
3x = 63
⇒ x = 21
Putting x = 21 in equation (iii) we get
21 -y= -3
⇒ y = 24
Hence, Ani’s age is either 19 years or 21 years and Biju’s age is either 16 years or 24 years.
Question 2.
One says, “Give me a hundred, friend! I shall then become twice as rich as you”. The other replies, “If you give me ten, I shall be six times as rich as you”. Tell me what is the amount of their (respective) capital?
Solution:
Let the two friends have ₹ x and ₹ y.
According to the first condition:
One friend has an amount = ₹(x + 100)
Other has an amount = ₹ (y – 100
∴ (x + 100) =2 (y – 100)
⇒ x + 100 = 2y – 200
⇒ x – 2y = -300 …(i)
According to the second condition:
One friend has an amount = ₹(x – 10)
Other friend has an amount =₹ (y + 10)
∴ 6(x – 10) = y + 10
⇒ 6x – 60 = y + 10
⇒ 6x-y = 70 …(ii)
Multiplying (ii) equation by 2 and subtracting the result from equation (i), we get:
x – 12x = – 300 – 140
⇒ -11x = -440
⇒ x = 40
Substituting x = 40 in equation (ii), we get
6 x 40 – y = 70
⇒ -y = 70- 24
⇒ y = 170
Thus, the two friends have ₹ 40 and ₹ 170.
Question 3.
A train covered a certain distance at a uniform speed. If the train would have been 10 km/h faster, it would have taken 2 hours less than the scheduled time. And, if the train were slower by 10 km/h, it would have taken 3 hours more than the scheduled time. Find the distance covered by the train.
Solution:
Let the original speed of the train be x km/h
and the time taken to complete the journey be y hours. ‘
Then the distance covered = xy km
Case I: When speed = (x + 10) km/h and time taken = (y – 2) h
Distance = (x + 10) (y – 2) km
⇒ xy = (x + 10) (y – 2)
⇒ 10y – 2x = 20
⇒ 5y – x = 10
⇒ -x + 5y = 10 …(i)
Case II: When speed = (x – 10) km/h and time taken = (y + 3) h
Distance = (x – 10) (y + 3) km
⇒ xy = (x – 10) (y + 3)
⇒ 3x- 10y = 30 …(ii)
Multiplying equation (i) by 3 and adding the result to equation (ii), we get
15y – 10y = 30 f 30
⇒ 5y = 60
⇒ y = 12
Putting y = 12 in equation (ii), we get
3x- 10 x 12= 30
⇒ 3x = 150
⇒ x = 50
∴ x = 50 and y = 12
Thus, original speed of train is 50 km/h and time taken by it is 12 h.
Distance covered by train = Speed x Time
= 50 x 12 = 600 km.
Question 4.
The students of a class are made to stand in rows. If 3 students are extra in a row, there would be 1 row less. If 3 students are less in a row, there would be 2 rows more. Find the number of students in the class.
Solution:
Let the number of rows be x and the number of students in each row be y.
Then the total number of students = xy
Case I: When there are 3 more students in each row
Then the number of students in a row = (y + 3)
and the number of rows = (x – 1)
Total number of students = (x – 1) (y + 3)
∴ (x – 1) (y + 3) = xy
⇒ 3x -y =3 …(i)
Case II: When 3 students are removed from each row
Then the number of students in each row = (y-3)
and the number of rows = (x + 2)
Total number of students = (x + 2) (y – 3)
∴ (x + 2) (y – 3) = xy
⇒ -3x + 2y = 6 …(ii)
Adding the equations (i) and (ii), we get
-y + 2y = 3 + 6
⇒ y = 9
Putting y = 9 in the equation (ii), we get
-3x + 18 = 6
⇒ x = 4
∴ x = 4 and y = 9
Hence, the total number of students in the class is 9 x 4 = 36.
Question 5.
In a ∆ABC, ∠C = 3 ∠B = 2(∠A + ∠B). Find the three angles.
Solution:
Let ∠A = x° and ∠B = y°.
Then ∠C = 3∠B = (3y)°.
Now ∠A + ∠B + ∠C = 180°
⇒ x + y + 3y = 180°
⇒ x + 4y = 180° …(i)
Also, ∠C = 2(∠A + ∠B)
⇒ 3y – 2(x + y)
⇒ 2x – y = 0° …(ii)
Multiplying (ii) by 4 and adding the result to equation (i), we get:
9x = 180°
⇒ x = 20°
Putting x = 20 in equation (i), we get:
20 + 4y = 180°
⇒ 4y = 160°
⇒ y =
∴ ∠A = 20°, ∠B = 40° and ∠C = 3 x 40° = 120°.
Question 6.
Draw the graphs of the equations 5x – y = 5 and 3x – y = 3. Determine the coordinates of the vertices of the triangle formed by these lines and the y-axis.
Solution:
5x – y = 5 …(i)
3x-y = 3 …(ii)
For graphical representation:
From equation (i), we get: y = 5x – 5
When x = 0, then y -5
When x = 2, then y = 10 – 5 = 5
When x = 1, then y = 5 – 5 = 10
Thus, we have the following table of solutions:

From equation (ii), we get:
⇒ y = 3x – 3
When x = 0, then y = -3
When x = 2, then y = 6 – 3 = 3
When x = 1, then y = 3 – 3 = 0
Thus, we have the following table of solutions:

Plotting the points of each table of solutions, we obtain the graphs of two lines intersecting each other at a point C(1, 0).

The vertices of ΔABC formed by these lines and the y-axis are A(0, -5), B(0, -3) and C(1, 0).
Question 7.
Solve the following pairs of linear equations:

Solution:
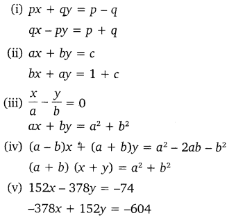
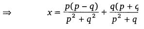
(i) The given equations are
px + qy = p – q …(1)
qx – py = p + q …(2)
Multiplying equation (1) byp and equation (2) by q and then adding the results, we get:
x(p2 + q2) = p(p – q) + q(p + q)


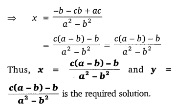
(ii) The given equations are
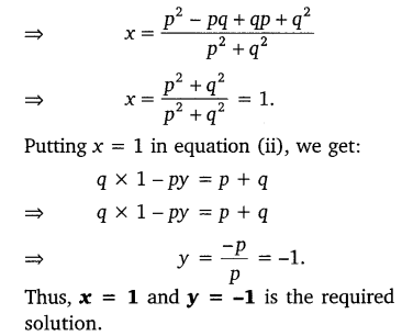
ax + by = c …(1)
bx – ay = 1 + c …(2)
Multiplying equation (1) by b and equation (2) by a, we get:
abx + b2y = cb …(3)
abx + a2y = a(1+ c) …(4)
Subtracting (3) from (4), we get:


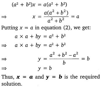
(iii) The given equations may be written as: bx – ay = 0 …(1)
ax + by = a2 + b2 …(2)
Multiplying equation (1) by b and equation (2) by a, we get:
b2x + aby = 0 ….(3)
a2x + aby = a(a2 + b2) …..(4)
Adding equation (3) and equation (4), we get:
(a2 + b2)x = a (a2 + b2) a(a2 + b2)

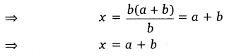
(iv) The given equations may be written as:
(a – b)x + (a + b)y = a2 – 2ab – b2 …(1)
(a + b)x + (a + b)y = a2 + b2 …(2)
Subtracting equation (2) from equation (1), we get:
(a – b)x – (a + b)x
= (a2 – 2ab – b2) – (a2 + b2)
⇒ x(a – b- a-b) = a2 – 2ab – b2 – a2 – b2
⇒ -2bx = -2ab – 2b2
⇒ 2bx = 2b2 + 2ab


(v) The given equations may be written as:
76x – 189y = -37 …(1)
-189x + 76y = -302 …(2)
Multiplying equation (1) by 76 and equation (2) by 189, we get:
5776x – 14364y = -2812 …(3)
-35721x + 14364y = -57078 …(4)
Adding equations (3) and (4), we get:
5776x – 35721x = -2812 – 57078
⇒ – 29945x = -59890
⇒ x = 2
Putting x = 2 in equation (1), we get:
76 x 2 – 189y = -37
⇒ 152 – 189y = -37
⇒ -189y = -189
⇒ y = 1
Thus, x = 2 and y = 1 is the required solution.
Question 8.
ABCD is a cyclic quadrilateral (see figure). Find the angles of the cyclic quadrilateral.

Solution:

