Getstudysolution is an online educational platform that allows students to access quality educational services and study materials at no cost.
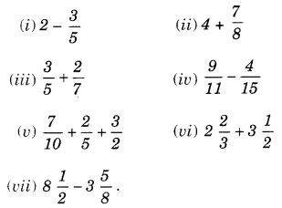
Question 1.
Solve :

Solution:


Question 2.
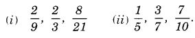
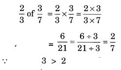
Arrange the following in descending order

Solution:
(i) Converting the given fractions into like fractions, we have


(ii) Converting the given fractions into like fractions, we have

Question 3.
In a “magic square”, the sum of the numbers in each row, in each column and along the diagonals is the same. Is this a magic square?

Solution:
Yes ! this is a magic square.
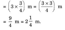
Question 4.
A rectangular sheet of paper is 12
Solution:
Perimeter of the rectangular sheet of paper

Question 5.
Find the perimeters of (i) A ABE (ii) the rectangle BCDE in this figure. Whose perimeter is greater?
Solution:
(i) Perimeter of ∆ ABE = AB + BE + EA

(ii) Perimeter of the rectangle BCDE = BC + CD + DE + EB

So, the perimeter of A ABE is greater than the perimeter of the rectangle BCDE.
Question 6.
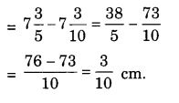
Salil wants to put a picture in a frame. The picture is 7
Solution:
The picture should be trimmed by

Question 7.
Ritu are
Solution:
Part of the apple ate by Somu

Question 8.
Michael finished colouring a picture in
Solution:

Question 1.
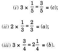
Which of the drawings (a) to (d) show:

Solution:
(i) (d)
(ii) (b)
(iii) (a)
(iv) (c)
Question 2.
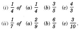
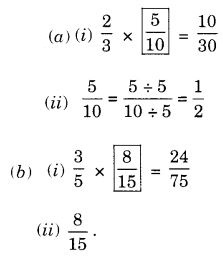
Some pictures (a) to (c) are given below. Tell which of them show:


Solution:

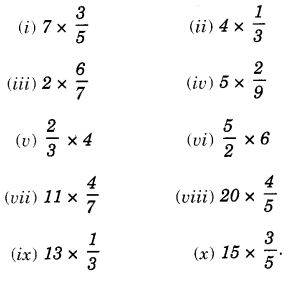
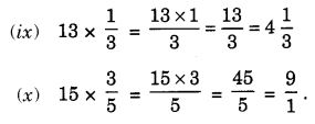
Question 3.
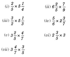
Multiply and reduce to lowest form and convert into a mixed fraction:

Solution:


Question 4.
Shade

Solution:


Question 5.
Find:

Solution:


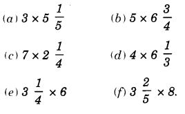
Question 6.
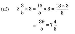
Multiply and express as a mixed fraction:

Solution:


Question 7.
Find

Solution:


Question 8.
Vidya and Pratap went for a picnic. Their mother gave them a water bottle that contained 5 liters of water. Vidya consumed
(i) How much water did Vidya drink?
(ii) What fraction of the total quantity of water did Pratap drink?
Solution:
(i) Quantity of water drank by Vidya

(ii) Quantity of water drank by Pratap
= 5 litres – 2 litres = 3 litres
∴ The fraction of the total quantity of water drank by Pratap

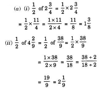
Question 1.
Find:

Solution:

Question 2.
Multiply and reduce to lowest form (if possible):


Solution:

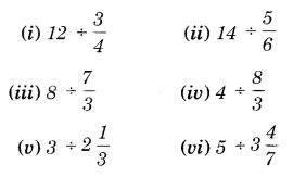
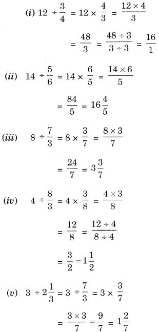
Question 3.
Multiply the following fractions:

Solution:



Question 4.
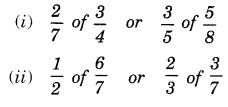
Which is greater:

Solution:



Question 5.
Saili plants 4 saplings, in a row, in her garden. The distance between two adjacent saplings is
Solution:

Let A, B, C and D be the four saplings planted in a row.
Distance between two adjacent saplings =
∴ Distance between the first and the last sapling = AD = 3 × AB

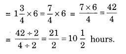
Question 6.
Lipika reads a book for 1
Solution:
Hours in all required by Lipika to read the book

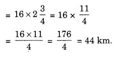
Question 7.
A car runs 16 km using 1 litre of petrol. How much distance will it cover using 2
Solution:
Distance covered by the car using 2

Question 8.

Solution:

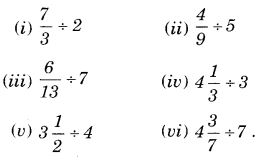
Question 1.
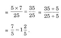
Find:

Solution:



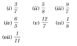
Question 2.
Find the reciprocal of each of the following fractions. Classify the reciprocals as proper fractions, improper fractions and whole numbers.

Solution:


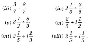
Question 3.
Find:

Solution:

Question 4.
Find:


Solution:


Question 1.
Which is greater?
Solution:

Question 2.
Express as rupees using decimals:
Solution:
Question 3.
Solution:
Question 4.
Express in kg:
Solution:
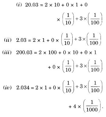
Question 5.
Write the following decimal numbers in the expanded form:
Solution:

Question 6.
Write the place value of 2 in the following decimal numbers:
Solution:
(i) Place value of 2 in the decimal number 2.56 = 2 × 1 = 2
(ii) Place value of 2 in decimal number 21.37 = 2 × 10 = 20
(iii) Place value of 2 in the decimal number

Question 7.
Dinesh went from place A to place t B and from there to place C. A is 7.5 km from B and B is 12.7 km from C. Ayub went from place A to place D and from there to place C. D is 9.3 km from A and C is 11.8 km from D. f Who travelled more and by how much?
Solution:



Question 8.
Shyama bought 5 kg 300 g apples and 3 kg 250 g mangoes. Sarala bought 4 kg 800 g oranges and 4 kg 150 g bananas. Who bought more fruits?
Solution:
For Shyama
Apples bought = 5 kg 300 g = 5.300 kg
Mangoes bought = 3 kg 250 g = 3.250 kg
∴ Fruits bought = Apples bought
+ Mangoes bought = 5.300 kg + 3.250 kg

For Sarala
Oranges bought = 4 kg 800 g = 4.800 kg
Bananas bought = 4 kg 150 g = 4.150 kg
∴ Fruits bought = Oranges bought
+ Bananas bought

Question 9.
How much less is 28 km than 42.6 km?
Solution:

So, 28 km is less than 42.6 km by 14.6 km.
Question 1.
Find:
Solution:
Question 2.
Find the area of rectangle whose length is 5.7 cm and breadth is 3 cm.
Solution:
Length of the rectangle = 5.7 cm
Breadth of the rectangle = 3 cm
∴ Area of the rectangle
= Length × Breadth
= 5.7 × 3 = 17.1 cm2
Question 3.
Find:
Solution:
Question 4.
A two-wheeler covers a distance of 55.3 km in one litre of petrol. How much distance will it cover in 10 litres of petrol?
Solution:
Distance covered in one liter of petrol = 55.3 km
Distance covered in 10 litres of petrol = (55.3 × 10) km = 553 km
Question 5.
Find:
Solution:
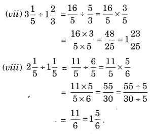
Question 1.
Find:
Solution:


Question 2.
Find:
Solution:

Question 3.
Find:
Solution:
Question 4.
Find:
Solution:
Question 5.
Find:
Solution:


Question 6.
A vehicle covers a distance of 43.2 km in 2.4 litres of petrol. How much distance will it cover in one litre of petrol?
Solution:
∵ Distance covered in 2.4 litres of petrol = 43.2 km
∴ Distance travelled in 1 litre of petrol = 43.2 ÷ 2.4
