Getstudysolution is an online educational platform that allows students to access quality educational services and study materials at no cost.
Question 1.
Which of the following expressions are polynomials in one variable and which are not? State reasons for your answer.
(i) 4x2 – 3x + 7
(ii) y2 + √2
(iii) 3 √t + t√2
(iv) y+
(v) x10+ y3+t50
Solution:
(i) 4x2 – 3x + 7 is an expression having only non-negative integral powers of x. So, it is a polynomial.
(ii) y2 +√2 is an expression having only non-negative integral power of y. So, it is a polynomial.
(iii) 3√t + √2 is an expression in which one term namely 3√t has rational power of f. So, it is not a polynomial.
(iv) y+
(v) x10 + y3 + t50 is an expression which has 3 variables.
Question 2.
Write the coefficients of x2 in each of the following
(i) 2 + x2 + x
(ii) 2 – x2 + x3
(iii)
(iv) √2 x – 1
Solution:
(i) The coefficient of x2 in 2 + x2 + x is 1.
(ii) The coefficient of x2 in 2 – x2 + x3 is – 1.
(iii) The coefficient of x2 in
(iv) The coefficient of x2 in √2 x -1 is 0.
Question 3.
Give one example each of a binomial of degree 35, and of a monomial of degree 100.
Solution:
(i) y35 + 2 is a binomial of degree 35.
(ii) y100 is a monomial of degree 100.
Question 4.
Write the degree of each of the following polynomials.
(i) 5x3+4x2 + 7x
(ii) 4 – y2
(iii) 5f – √7
(iv) 3
Solution:
(i) In a polynomial 5x3 + 4x2 + 7x, the highest power of variable x is 3, hence degree of polynomial is 3.
(ii) In a polynomial 4 – y2, the highest power of variable y = 2, hence degree of polynomial is 2.
(iii) In a polynomial 5t – √7 , the highest power of variable t = 1, hence the degree of polynomial is 1.
(iv) In a polynomial 3, the highest power of variable y = 0, hence the degree of polynomial is 0.
Question 5.
Classify the following as linear, quadratic and cubic polynomials.
(i) x2+ x
(ii) x – x3
(iii) y + y2+4
(iv) 1 + x
(v) 3t
(vi) r2
(vii) 7x3
Solution:
(i) The degree of polynomial x2 + 2 is 2, hence it is a quadratic polynomial.
(ii) The degree of polynomial x – x3 is 3, hence it is a cubic polynomial.
(iii) The degree of polynomial y + y2 + 4 is 2, hence it is a quadratic polynomial.
(iv) The degree of polynomial 1 + x is 1, hence it is a linear polynomial.
(v) The degree of polynomial 3t is 1, hence it a linear polynomial.
(vi) The degree of polynomial r2 is 2, hence it is a quadratic polynomial.
(vii) The degree of polynomial 7x3 is 3, hence it is a cubic polynomial.
Question 1.
Find the value of the polynomial 5x -4x2 + 3 at
(i) x = 0
(ii) x = – 1
(iii) x = 2
Solution:
Let p (x) = 5x – 4x2+ 3
(i) The value of p (x) = 5x – 4x2+ 3 at x= 0 is
p(0) = 5 x 0 – 4 x 02+3
⇒ P (0) = 3
(ii) The value of p (x) = 5x – 4x2 + 3 at x = -1 is
p(-1) = 5(-D-4(-1)2 + 3 = – 5 -4 + 3
⇒ P(-1) = -6
(iii) The value of p (x) = 5x- 4x2 + 3 at x = 2 is
p (2) = 5 (2)- 4 (2)2 + 3= 10- 16+ 3
⇒ P (2) = – 3
Question 2.
Find p (0), p (1) and p (2) for each of the following polynomials.
(i) p(y) = y2 – y +1
(ii) p (t) = 2 +1 + 2t2 -t3
(iii) P (x) = x3
(iv) p (x) = (x-1) (x+1)
Solution:
(i) p (y) = y2 -y +1
∴ p(0) = 02-0+1
⇒ p(0) = 1
p(1) = 12-1+ 1
⇒ p(1) = 1
and p (2) = 22 – 2 + 1 =4-2+1
⇒ P (2) = 3
(ii) p (t) = 2 + t + 2t2 -13
p(0) = 2+ 0+ 2 x 02– 03
⇒ P (0) = 2
p (1) = 2 + 1 + 2 x 12 – 13
⇒ p (1) = 3 + 2 – 1
⇒ p(1) = 4
and p (2) = 2 + 2 + 2 x 22 – 23
=4+8-8
⇒ P (2) = 4
(iii) P(x) = x3
⇒ p (0) = 03 ⇒ p (0) = 0 ⇒ p (1) = 13
⇒ P (1) = 1
and p (2) = 23 ⇒ p (2) = 8
(iv) p(x) = (x-1)(x+ 1)
p(0) = (0-1)(0+1)
⇒ P (0) = – 1
p (1) = (1 – 1) (1 + 1)
⇒ P (1) = 0
and p (2) = (2-1) (2+1)
⇒ P (2) = 3
Question 3.
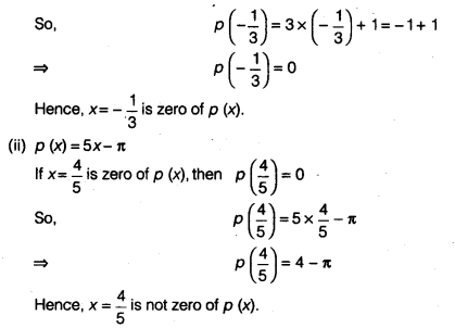
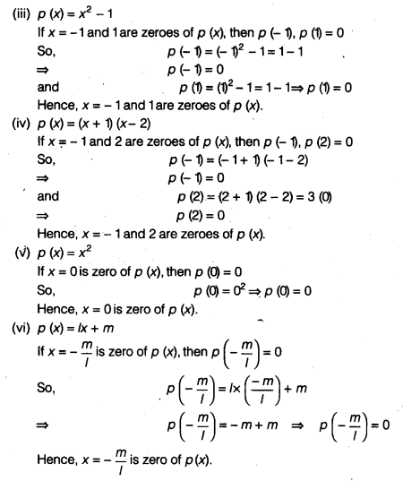
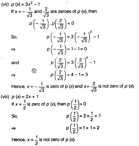
Verify whether the following are zeroes of the polynomial, indicated against them.
(i)p(x) = 3x + 1,x = –
(ii)p (x) = 5x – π, x =
(iii) p (x) = x2 – 1, x = x – 1
(iv) p (x) = (x + 1) (x – 2), x = – 1,2
(v) p (x) = x2, x = 0
(vi) p (x) = lx + m, x = –
(vii) P (x) = 3x2 – 1, x = –
(viii) p (x) = 2x + 1, x =
Solution:




Question 4.
Find the zero of the polynomial in each of the following cases
(i) p(x)=x+5
(ii) p (x) = x – 5
(iii) p (x) = 2x + 5
(iv) p (x) = 3x – 2
(v) p (x) = 3x
(vi) p (x)= ax, a≠0
(vii) p (x) = cx + d, c≠ 0 where c and d are real numbers.
Solution:
(i) We have, p (x)= x+ 5
Now, p (x) = 0
⇒ x+ 5 = 0
⇒ x = -5
∴ – 5 is a zero of the polynomial p (x).
(ii) We have, p (x) = x – 5
Now, p (x) = 0
⇒ x – 5 = 0
⇒ x = 5
∴ 5 is a zero of the polynomial p (x).
(iii) We have, p (x) = 2x + 5
Now, P (x)= 0
⇒ 2x+ 5= 0
⇒ x = –
∴ –
(iv) We have, p (x)= 3x- 2
Now p(x) = 0
⇒ 3x- 2 = 0
⇒ x=
∴
(v) We have, p (x) = 3x
Now, p (x)= 0
⇒ 3x=0
⇒ x =0
∴ 0 is a zero of the polynomial p (x).
(vi) We have, p (x)= ax, a ≠ 0
Now, p (x)= 0 ⇒ ax= 0
⇒ x= 0
∴ 0 is.a zero of the polynomial p (x).
(vii) We have, p (x) = cx + d,c ≠ 0
Now, p (x) = 0
⇒ cx + d = 0
x = –
∴ –
Question 1.
Find the remainder when x3 + 3x2 + 3x + 1 is divided by
(i) x + 1
(ii) x –
(iii) x
(iv) x + π
(v) 5 + 2x
Solution:
Let p (x) = x3 + 3x2 + 3x + 1
(i) The zero of x+ 1 is – 1. (∵ x+ 1 = 0= x = -1)

Question 2.
Find the remainder when x3-ax2 +6x-ais divided by x – a.
Solution:
The zero of x – a is a. (∵ x – a = 0 =» x= a)
Let p (x) = x3 – ax2 + 6x – a
So, p (a) = a3 – a (a)2 + 6a – a = a3 – a3 + 5a
⇒ p (a) = 5a
∴ Required remainder = 5a (By Remainder theorem)
Question 3.
Check whether 7 + 3x is a factor of 3x3+7x.
Solution:
Let f(x) = 3x3+7x

Question 1.
Determine which of the following polynomials has (x +1) a factor.
(i) x3+x2+x +1
(ii) x4 + x3 + x2 + x + 1
(iii) x4 + 3x3 + 3x2 + x + 1
(iv) x3 – x2 – (2 +√2 )x + √2
Solution:
The zero of x + 1 is -1.
(i) Let p (x) = x3 + x2 + x + 1
Then, p (-1) = (-1)3 + (-1)2 + (-1) + 1 .
= -1 + 1 – 1 + 1
⇒ p (- 1) = 0
So, by the Factor theorem (x+ 1) is a factor of x3 + x2 + x + 1.
(ii) Let p (x) = x4 + x3 + x2 + x + 1
Then, P(-1) = (-1)4 + (-1)3 + (-1)2 + (-1)+1
= 1 – 1 + 1 – 1 + 1
⇒ P (-1) = 1
So, by the Factor theorem (x + 1) is not a factor of x4 + x3 + x2 + x+ 1.
(iii) Let p (x) = x4 + 3x3 + 3x2 + x + 1 .
Then, p (-1)= (-1)4 + 3 (-1)3 + 3 (-1)2 + (- 1)+ 1
= 1- 3 + 3 – 1 + 1
⇒ p (-1) = 1
So, by the Factor theorem (x + 1) is not a factor of x4 + 3x3 + 3x2 + x+ 1.
(iv) Let p (x) = x3 – x2 – (2 + √2) x + √2
Then, p (- 1) =(- 1)3- (-1)2 – (2 + √2)(-1) + √2
= -1 – 1+ 2 +√2+√2
= 2√2
So, by the Factor theorem (x + 1) is not a factor of
x3 – x2 – (2 + √2) x + √2.
Question 2.
Use the Factor Theorem to determine whether g (x) is a factor of p (x) in each of the following cases
(i) p (x)= 2x3 + x2 – 2x – 1, g (x) = x + 1
(ii) p(x)= x3 + 3x2 + 3x + X g (x) = x + 2
(iii) p (x) = x3 – 4x2 + x + 6, g (x) = x – 3
Solution:
(i) The zero of g (x) = x + 1 is x= -1.
Then, p (-1) = 2 (-1)3+ (-1)2 – 2 (-1)-1 [∵ p(x) = 2x3 + x2 – 2x -1]
= -2 + 1 + 2 – 1
⇒ P (- 1)= 0
Hence, g (x) is a factor of p (x).
(ii) The zero of g (x) = x + 2 is – 2.
Then, p (- 2) = (- 2)3 + 3 (- 2)2 +3 (- 2) + 1 [∵ p(x) = x3 + 3x2 + 3x + 1]
= – 8 + 12 – 6 + 1
⇒ p(-2) = -1
Hence, g (x) is not a factor of p (x).
(iii) The zero of g (x) = x – 3 is 3.
Then, p (3) = 33 – 4 (3)2+3 + 6 [∵ p(x) = x3-4x2 + x+6]
= 27 – 36+ 3 +6
⇒ p(3) = 0
Hence, g (x) is a factor of p (x).
Question 3.
Find the value of k, if x – 1 is a factor of p (x) in each of the following cases
(i) p (x) = x2 + x + k
(ii) p (x) = 2x2 + kx + √2
(iii) p (x) = kx2 – √2 x + 1
(iv) p (x) = kx2 – 3x + k
Solution:
The zero of x – 1 is 1.
(i) (x – 1) is a factor of p (x),then p(1)= 0 (By Factor theorem)
⇒ 12 + 1 + k = 0 [∵ p(x) = x2 + x + k]
⇒ 2 + k =0
⇒ k = -2
(ii) ∵ (x -1) is a factor of p (x), then p (1) = 0 (By Factor theorem)
⇒ 2(1)2 + k(1)+√2= 0 [∵p(x) = 2x2 + kx+ -√2]
⇒ 2 + k + √2 = 0
⇒ k = – (2 + √2)
(iii) ∵ (x-1) is a factor of p (x), then p (1) = 0 (By Factor theorem)
⇒ k (1)2 – √2 + 1 = 0 [∵p(x) = kx2 – √2x + 1]
⇒ k = (√2 – 1)
(iv) ∵ (x-1) is a factor of p (x), then p (1) = 0 (By Factor theorem)
⇒ k(1)2 – 3 + k = 0 [∵p(x) = kx2 – 3x + k]
⇒ 2k-3 = 0
⇒ k =
Question 4.
Factorise
(i) 12x2 – 7x +1
(ii) 2x2 + 7x + 3
(iii) 6x2 + 5x – 6
(iv) 3x2 – x – 4
Solution:
(i) 12x2 – 7x + 1 = 12x2 – 4x- 3x + 1 (Splitting middle term)
= 4x (3x – -0 -1 (3x-1)
= (3x -1) (4x -1)
(ii)2x2 + 7x + 3 = 2x2 + 6x + x + 3 (Splitting middle term)
= 2x (x + 3) +1 (x + 3) = (x + 3) (2x+ 1)
(iii) 6x2 + 5x – 6= 6x2 + 9x- 4x- 6 (Splitting middle term)
= 3x(2x+3)-2(2x+3)=(2x+3)(3x-2)
(iv) 3x2 – x- 4= 3x2-4x+3x-4 (Splitting middle term)
= x (3x – 4) + 1 (3x – 4)= (3x- 4) (x + 1)
Question 5.
Factorise
(i) x3 – 2x2 – x + 2
(ii) x3 – 3x2 – 9x – 5
(iii) x3 + 13x2 + 32x + 20
(iv) 2y3 + y2 – 2y – 1
Solution:
(i) Let p (x) = x3 – 2x2 – x+ 2, constant term of p (x) is 2.
Factors of 2 are ± 1 and ± 2.
Now, p (1) = 13 – 2 (1)2 – 1 + 2
=1- 2 – 1 + 2
p(1) = 0
By trial, we find that p (1) = 0, so (x – 1) is a factor of p (x).
So, x3 – 2x2 – x+ 2
= x3 – x2 – x2 + x – 2x + 2
= x2 ( x -1)- x (x – 1)-2 (x – 1)
= (x – 1)(x2 – x – 2)
= (x – 1)(x2 – 2x+x-2)
= (x – 1) [x (x – 2) + 1 (x – 2)]
= (x – 1) (x – 2)(x + 1)
(ii) Let p(x) = x3 – 3x2 – 9x – 5
By trial, we find that p(5) = (5)3 – 3(5)2 – 9(5) – 5
=125 – 75 – 45 – 5 = 0
So, (x – 5) is a factor of p(x).
So, x3 – 3x2 – 9x – 5
= x3-5x2 + 2x2-10x+x-5
= x2(x – 5)+2x(x – 5)+1(x – 5)
= (x – 5) (x2 + 2x + 1)
= (x – 5) (x2 + x + x + 1)
= (x – 5) [x (x + 1)+ 1 (x+ 1)]
= (x – 5) (x + 1) (x + 1)
= (x – 5)(x+1)2
(iii) Let p (x) = x3 + 13x2 + 32x + 20
By trial, we find that p (-1) = (-1)3 + 13(-1)2 + 32 (-1) + 20
= -1+13 – 32 + 20 = -33 + 33 = 0
So (x + 1) is a factor of p (x).
So, x3 + 13x2 + 32x + 20
= x3+ x2 + 12x2 + 12x+ 20x+ 20
=x2(x+ 1) + 12x(x+ 1)+ 20 (x+ 1)
= (x+1)(x2+12x+20)
= (x+ 1) (x2+ 10x + 2x+ 20)
= (x+1)[x(x+10)+2(x+10)]
= (x+ 1) (x+ 10) (x + 2)
(iv) Let p (y) = 2y3 + y2 – 2y -1
By trial we find that p(1) = 2 (1)3 + (1)2 – 2(1) – 1 = 2 + 1 – 2 -1 = 0
So (y -1) is a factor of p (y).
So, 2y3 + y2 – 2y -1
= 2y3 – 2y2+ 3y2 – 3y + y – 1
= 2y2(y – 1) + 3y(y – 1)+1(y – 1)
= (y – 1) (2y2 + 3y + 1)
= (y – 1)(2y2 + 2y +y+1)
= (y – 1 [2y (y + 1) + 1 (y + 1)]
= (y – 1)(y+1)(2y+1)
Question 1.
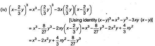
Use suitable identities to find the following products
(i) (x + 4)(x + 10)
(ii) (x+8) (x -10)
(iii) (3x + 4) (3x – 5)
(iv) (y2+
(v) (3 – 2x) (3 + 2x)
Solution:
(i) (x+ 4) (x + 10)
Using identity (iv), i.e., (x+ a) (x+ b) = x2 + (a + b) x+ ab.
We have, (x+4) (x + 10) = x2+(4 + 10) x + (4x 10) (∵ a = 4, b = 10)
= x2 + 14x+40
(ii) (x+ 8) (x -10)
Using identity (iv), i.e., (x + a) (x + b) = x2 + (a + b) x + ab
We have, (x + 8) (x – 10) = x2 + [8 + (-10)] x + (8) (- 10)(∵a = 8, b = -10)
= x2 – 2x – 80
(iii) (3x + 4) (3x – 5)
Using identity Eq. (iv), i.e.,
(x + a) (x + b) = x2 + (a + b) x + ab
We have, (3x + 4) (3x – 5) = (3x)2 + (4 – 5) x + (4) (- 5) (∵a = 4, b = -5)
= 9x2 – x – 20
Question 2.
Evaluate the following products without multiplying directly
(i) 103 x 107
(ii) 95 x 96
(iii) 104 x 96
Solution:
(i) 103 x 107 = (100 + 3) (100 + 7)
= 100 x 100+ (3 + 7) (100)+ (3 x 7) [Using identity (iv)]
= 10000+ 1000+21 = 11021
(ii) 95 x 96 = (100-5) (100-4)
= 100 x 100 + [(- 5) + (- 4)] 100 + (- 5 x – 4) [Using identity (iv)]
= 10000 – 900 + 20 = 9120
(iii) 104 x 96 = (100 + 4) (100 – 4)
= (100)2-42 [Using identity (iii)]
= 10000-16 = 9984
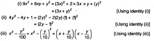
Question 3.
Factorise the following using appropriate identities
(i) 9x2+6xy+ y2
(ii) 4y2-4y + 1
(iii) x2 –
Solution:

Question 4.
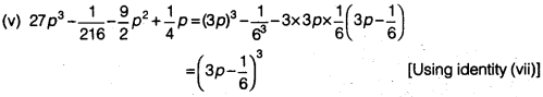
Expand each of the following, using suitable identity
(i) (x+2y+ 4z)2
(ii) (2x – y + z)2
(iii) (- 2x + 3y + 2z)2
(iv) (3a -7b – c)z
(v) (- 2x + 5y – 3z)2
(vi) (
Solution:
(i) (x + 2y + 4z)2 = x2 + (2y)2 + (4z)2 + 2 (x) (2y) + 2 (2y) (4z) + 2(4z) (x) [Using identity (v)]
= x2 + 4y2 + 16z2 + 4xy + 16yz + 8 zx
(ii) (2x – y + z)2 = (2x)2 + (- y)2 + z2 + 2 (2x) (- y)+ 2 (- y) (z) + 2 (z) (2x) [Using identity (v)]
= 4x2 + y2 + z2 – 4xy – 2yz + 4zx
(iii) (- 2x + 3y + 2z)2 = (- 2x)2 + (3y)2 + (2z)2 + 2 (- 2x) (3y)+ 2 (3y) (2z) + 2 (2z) (- 2x) [Using identity (v)]
= 4x2 + 9y2 + 4z2 – 12xy + 12yz – 8zx
(iv) (3a -7b- c)2 = (3a)2 + (- 7b)2 + (- c)2 + 2 (3a) (- 7b) + 2 (- 7b) (- c) + 2 (- c) (3a) [Using identity (v)]
= 9a2 + 49b2 + c2 – 42ab + 14bc – 6ac
(v) (- 2x + 5y- 3z)2 = (- 2x)2 + (5y)2 + (- 3z)2 + 2 (- 2x) (5y) + 2 (5y) (- 3z) + 2 (- 3z) (- 2x) [Using identity (v)]
= 4x2 + 25y2 + 9z2 – 20xy – 30yz + 12zx

Question 5.
Factorise
(i) 4 x2 + 9y2 + 16z2 + 12xy – 24yz – 16xz
(ii) 2x2 + y2 + 8z2 – 2√2xy + 4√2yz – 8xz
Solution:
(i) 4x2 + 9y2 + 16z2 +12xy-24yz-16xz
= (2x)2 + (3y)2 + (- 4z)2 + 2 (2x) (3y) + 2 (3y) (- 4z) + 2 (- 4z) (2x)
= (2x + 3y – 4z)2
(ii) 2x2 + y2 + 8z2 – 2√2xy + 4√2yz – 8xz
= (- √2x)2 + (y)2 + (2 √2z)2 + 2(- √2x) (y)+ 2 (y) (2√2z) + 2 (2√2z) (- √2x)
= (- √2x + y + 2 √2z)2
Question 6.
Write the following cubes in expanded form

Solution:
(i) (2x + 1)3 = (2x)3 + 13 + 3 (2x) (1) (2x + 1) [Using identity (x + y)3 = x3 + y3 + 3xy (x + y)]
= 8x3 + 1 + 6x (2x + 1)
= 8x3 + 1 + 12x2 + 6x= 8x3 + 12x2 + 6x + 1
(ii) (2a – 3b)3 = (2a)3 – (3b)3 -3(2a)(3b)(2a-3b) [Using identity (x-y)3=x3-y3 -3xy(x-y)]
= 8a3-27b3-18ab(2a-3b)
= 8a3 – 27 b3 – 36a2b + 54ab2
=8a3 – 36a2b + 54ab2 – 27 b3


Question 7.
Evaluate the following using suitable identities
(i) (99)3
(ii) (102)3
(iii) (998)3
Solution:
(i) (99)3 =(100-1)3 = 1003 -(1)3 – 3x 100x 1(100-1) [Using identity (x-y)3 =x3-y3-3xy (x-y)]
=1000000-1-300(100-1)
=1000000-1-30000+300
=970299
(ii) (102)3 = (100+ 2)3 = 1003 + 23 + 3x 100x 2 (100+ 2 [Using identity (x + y)3 = x3 + y3 + 3xy (x + y)]
=1000000 + 8 + 600(100+ 2)
=1000000 + 8 + 60000+ 1200=1061208
(iii) (998)3 = (1000-2)3 =10003 – 23 – 3x 1000x 2(1000-2) [Using identity (x-y)3=x3-y3-3xy (x-y)]
=1000000000-8-6000(1000-2)
= 1000000000- 8 – 6000000+12000
=994011992
Question 8.
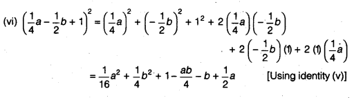
Factorise each of the following
(i) 8a3 +b3 + 12a2b+6ab2
(ii) 8a3 -b3-12a2b+6ab2
(iii) 27-125a3 -135a+225a2
(iv) 64a3 -27b3 -144a2b + 108ab2
![]()
Solution:
(i) 8a3 +b3 +12a2b+6ab2 = (2a)3 + b3 + 3x 2axb (2a+ b)
=(2a+b)3 [Using identity (vi)]
(ii) 8a3 -b3 -12a2b+ 6ab2 = (2a)3 + (-b)3 + 3x2ax (-b)[(2a)+ (-b)]
= (2a)3 – (b)3 – 3 x 2ax b (2a-b) [Using identity (vii)]
=(2 a-b)3
(iii) 27-125a3-135a + 225a2 =(3)3 + (-5a)3 + 3x3x(-5a)[(3)+(-5a)]
= (3)3 -(5a)3– 3x3x5a(3-5a) [Using identity (vii)]
= (3=5 a)3
(iv) 64a3 – 27b3 -144a2b +108ab2 =(4a)3 + (-3b)3 + 3x4ax(-3b)[4a+ (-3b)]
=(4a)3-(3b)3-3x4ax3b(4a-3b)
=(4a-3b)3 [Using identity (vii)]

Question 9.
Verify
(i) x3 + y3 = (x + y)-(x2 – xy + y2)
(ii) x3 – y3 = (x – y) (x2 + xy + y2)
Solution:
(i) We know that,
(x + y)3 = x3 + y3 + 3xy (x + y)
⇒ x3 + y3 = (x + y)3 – 3xy (x + y)
= (x + y) [(x + y)2 – 3xy]
= (x + y) [x2 + y2 + 2xy – 3xy]
= (x + y) [x2 + y2 – xy]
= RHS
Hence proved,
(ii) We .know that,
(x – y)3 = x3 – y3 – 3xy (x – y) x3 – y3
= (x – y)3 + 3xy (x – y)
= (x – y) [(x – y)2 + 3xy]
= (x – y) [x2 + y2 + 2xy + 3xy]
= (x – y) [x2 + y2 + xy]
= RHS
Hence proved.
Question 10.
Factorise each of the following
(i) 27y3 + 125z
(ii) 64rh3 – 343n [Hint See question 9]
Solution:
(i) 27y3 + 125z3 = (3y)3 + (5z)3
= (3y + 5z) [(3y)2 – (3y) (5z) + (5z)2]
= (3y + 5z) (9y2 – 15yz + 25z2)
(ii) 64 m3 – 343 n3 = (4m)3 – (7n)3
= (4m – 7n) [(4m)2 + (4m) (7n) + (7n)2]
= (4m – 7 n) [16m2 + 28mn + 49n2]
Question 11.
Factorise 27x3 +y3 +z3 -9xyz.
Solution:
27x3 + y3 + z3-9xyz=(3x)3 + y3 + z3 -3x 3xx yx z
=(3x+y+z)[(3x)2 + y2 + z2– 3xy – yz -z(3x)][Using identity (viii)]
=(3x+ y + z) (9x2 + y2 + z2 -3xy -yz -3zx)
Question 12.
Verify that
x3 +y3 +z3 -3xyz =
Solution:
x3 + y3 + z3-3xyz = (x+y+z)[x2 + y2 + z2-xy-yz-zx]
=
=
=
=
Question 13.
If x + y + z = 0, show that x3 + y3 + z3 = 3 xyz.
Solution:
We know that,
x3 + y3 + z3 – 3 xyz = (x + y + z) (x2 + y2 + z2 – xy – yz – zx [Using identity (viii)]
= 0(x2 + y2 + z2 – xy – yz – zx) (∵ x + y + z = 0 given)
= 0
⇒ x3 + y3 + z3 = 3 xyz
Hence proved.
Question 14.
Without actually calculating the cubes, find the value of each of the following
(i) (- 12)3 + (7)3 + (5)3
(ii) (28)3 + (- 15)3 + (- 13)3
Solution:
We know that, x3 + y3 + z3 -3xyz
=(x+y+z)(x2 + y2 + z2 – xy – yz – zx)
If x+y+z=0, then x3 + y3 + z3-3xyz=0
or x3 + y3 + z3 = 3xyz
(i) We have to find the value of (-12)3 + (7)3 + (5)3
Here, -12+7+5=0
So, (-12)3 + (7)3 + (5)3= 3x(-12)(7)(5)
=-1260
(ii) We have to find the value of (28)3 + (-15)3 + (-13)3.
Here, 28+(-15)+(-13)=28-15-13 =0
So, (28)3 + (-15)3 + (-13)3
= 3x (28) (-15) (-13)
= 16380
Question 15.
Give possible expressions for the length and breadth of each of the following rectangles, in which their areas are given
(i) Area 25a2 – 35a + 12
(ii) Area 35y2 + 13y – 12
Solution:
(i) We have, area of rectangle
= 25a2 – 35a+12
= 25a2 – 20a – 15a+12
= 5a(5a – 4)-3(5a – 4)=(a-4)(5a – 3)
Possible expression for length =5a-3
and breadth =5a-4
(ii) We have, Area of rectangle = 35y2+13y – 12=35y2 -15y + 28y – 12
=5y(7y – 3)+4(7y – 3) = (7y – 3)(5y+4)
Possible expression on for length =7y-3
and breadth =5y+4
Question 16.
What are the possible expressions for the dimensions of the cuboids whose volumes are given below?
(i) Volume 3x2 – 12x
(ii) Volume 12ky2 + 8ky – 20k
Solution:
(i) We have, volume of cuboid =3x2-12x=3x(x – 4)
One possible expressions for the dimensions of the cuboid is 3, x and x-4.
(ii) We have, volume of cuboid =12ky2 + 8ky-20k
=12ky2 + 20ky-12ky-20k
=4ky (3y+5) – 4k(3y+5)
=(3y+5)(4ky – 4k)
=(3y+5)4k(y – 1)
One possible expressions for the dimensions of the cuboid is 4k, 3y+5 and y – 1.