Getstudysolution is an online educational platform that allows students to access quality educational services and study materials at no cost.
Question 1.
A survey was conducted by a group of students as a part of their environmental awareness programme, in which they collected the following data regarding the number of plants in 20 houses in a locality. Find the mean number of plants per house.

Which method did you use for finding the mean, and why?
Solution:
Let us find the mean of the data by the direct method.

Hence, we have used the direct method to find the mean of the given data, because the numerical values of f1 and x1 are small.
Question 2.
Consider the following distribution of daily wages of 50 workers of a factory.

Find the mean daily wages of the workers of the factory by using an appropriate method.
Solution:
In this case, we can use step-deviation method because the sata is large.
Here, a = 150 and h = 20

Question 3.
The following distribution shows the daily pocket allowance of children of a locality. The mean pocket allowance is ₹ 18. Find the missing frequency f.

Solution:

Question 4.
Thirty women were examined in a hospital by a doctor and the number of heart beats per minute was recorded and summarised as follows. Find the mean heart beats per minute for these women, choosing a suitable method.

Solution:
Let us find the mean of the data by the direct method.

Question 5.
In a retail market, fruit vendors were selling mangoes kept in packing boxes. These boxes contained a varying number of mangoes. The following was the distribution of mangoes according to the number of boxes.

Find the mean number of mangoes kept in a packing box. Which method of finding the mean did you choose?
Solution:
Let us find the mean number of mangoes by the direct method.


We have used the direct method to find the mean number of mangoes because the values of f1 and x1 are small.
Question 6.
The table below shows the daily expenditure on food of 25 households in a locality.

Find the mean daily expenditure on food by a suitable method.
Solution:
Here, a = 225 and h = 50

Hence, the mean daily ecpenditure on food is ₹ 211.
Question 7.
To find out the concentration of SO2 in the air (in parts per million, i.e. ppm), the data was collected for 30 localities in a certain city and is presented below:

Find the mean concentration of SO2 in the air.
Solution:

Hence, the mean concentration of SO2 in air is 0.099 ppm.
Question 8.
A class teacher has the following absentee record of 40 students of a class for the whole term. Find the mean number of days a student was absent.

Solution:

Question 9.
The following table gives the literacy rate (in percentage) of 35 cities. Find the mean literacy rate.

Solution:
Here, h = 10

Hence, the mean literacy rate is 69.43%.
Question 1.
The following table shows the ages of the patients admitted to a hospital during a year.

Find the mode and the mean of the data given above. Compare and interpret the two measures of central tendency.
Solution:


From these two measures of central tendency, we observe that the maximum number of patients admittes in the hospital are of the age 36.8 years (appx.), while on an average the age of a patient is 35.37 years.
Question 2.
The following data gives the information on the observed lifetimes (in hours) of 225 electrical components:

Determine the modal lifetimes of the components.
Solution:

Question 3.
The following data gives the distribution of the total monthly household expenditure of 200 families of a village. Find the modal monthly expenditure of the families. Also, find the mean monthly expenditure:

Solution:
Here, h = 500.


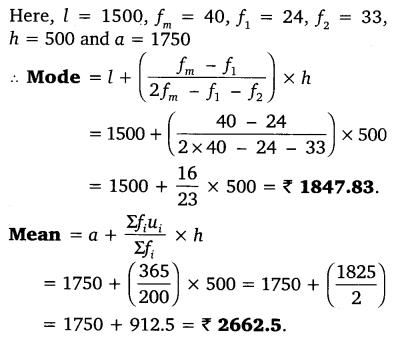
Question 4.
The following distribution gives the state-wise teacher- student ratio in higher secondary schools of India. Find the mode and mean of this data. Interpret the two measures.

Solution:
Here, h = 5.


Question 5.
The given distribution shows the number of runs scored by some top batsmen of the world in one-day international cricket matches.

Find the mode of the data.
Solution:

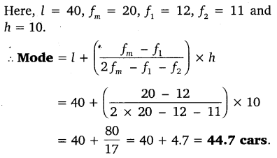
Question 6.
A student noted the number of cars passing through a spot on a road for 100 periods each of 3 minutes and summarised it in the table given below. Find the mode of the data:

Solution:
Since 20 is the maximun frequency, so a modal class is (40 – 50).

Question 1.
The following frequency distribution gives the monthly consumption of electricity of 68 consumers of a locality. Find the median, mean and mode of the data and compare them.
Solution:
Here h = 20.


Question 2.
If the median of the distribution given below is 28.5, find the values of x and y.

Solution:


Question 3.
A life insurance agent found the following data for the distribution of ages of 100 policy holders. Calculate the median age, if policies are given only to persons having age 18 years onwards but less than 60 years.

Solution:
The given distribution is less than type and upper limits are 20, 25, 30, 35, 40, 45, 50, 55 and 60.
So, we can assume class intervals such as (15 – 20), (20 – 25), (25 – 30), (30 – 35), (35 – 40), (40 – 45), (45 – 50), (50 – 55) and (55 – 60). As the number of policy holder is in cumulative distribution. So have the frequency distribution as:


Question 4.
The lengths of 40 leaves of a plant are measured correct to the nearest millimeter, and the data obtained is represented in the following table:

Find the median length of the leaves.
Solution:


Question 5.
The following table gives the distribution of the lifetime of 400 neon lamps:

Find the median lifetime of a lamp.
Solution:


Question 6.
100 surnames were randomly picked up from a local telephone directory and the frequency distribution of the number of letters in the English alphabet in the surnames was obtained as follows:

Determine the median number of letters in the surnames. Find the mean number of letters in the surnames. Also, find the modal size of the surnames.
Solution:



Question 7.
The distribution below gives the weight of 30 students in a class. Find the median weight of the students.

Solution:


Question 1.
The following distribution gives the daily income of 50 workers of a factory.

Convert the distribution above to a less than type cumulative frequency distribution, and draw its ogive.
Solution:

Now, we plot the points (120, 12), (140, 26), (160, 34), (180, 40) and (200, 50) to get the required ogive as shown alongside.

Question 2.
During the medical check-up of 35 students of a class, their weights were recorded as follows:

Draw a less than type ogive for the given data. Hence obtain the median weight from the graph and verify the result by using the formula.
Solution:
Plotting the points (38, 0), (40, 3), (42, 5), (44, 9), (46, 14), (48, 28), (50, 32) and (52, 35), we get the less than ogive as shown on the next page.
Here, n = 35 ⇒ .
Now, through mark 17.5 on the y-axis, draw a horizontal line which meets the ogive at A. From A, draw a vertical line on the x-axis, which meets the x-axis at B. The value of B on x-axis gives the required median.
∴Median = 46.5 (app.)

Question 3.
The following table gives production yield per hectare of wheat of 100 farms of a village.

Change the distribution to a more than type distribution, and draw its ogive.
Solution:

Now, we plot the points (50, 100), (55, 98), (60, 90), (65, 78), (70, 54) and (75, 16) to get the required ogive as shown below.
