Getstudysolution is an online educational platform that allows students to access quality educational services and study materials at no cost.
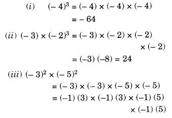
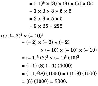
Question 1.
Find the value of:
Solution:
Question 2.
Express the following in exponential form:
Solution:
Question 3.
Express each of the following numbers using the exponential notation:
(i) 512
(ii) 343
(iii) 729
(iv) 3125.
Solution:



Question 4.
Identify wherever possible, in each of the following?

Solution:


Question 5.
Express each of the following as a product of powers of their prime factors:
(i) 648
(ii) 405
(iii) 540
(iv) 3600
Solution:




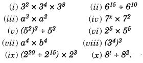
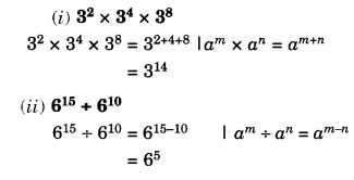
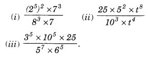
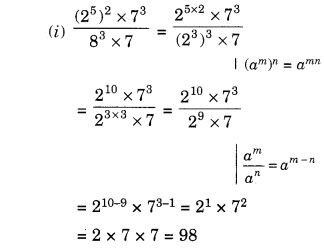
Question 6.
Simplify:

Solution:

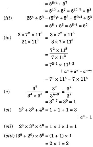
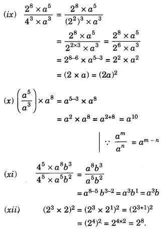
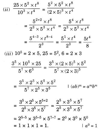
Question 7.
Simplify:

Solution:


Question 8.
Compare the following numbers:

Solution:

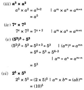
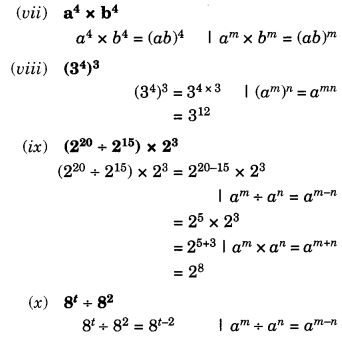
Question 1.
Using laws of exponents, simplify and write the answer in exponential form :

Solution:



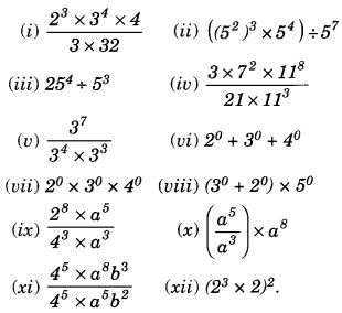
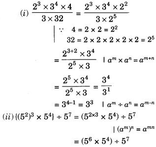
Question 2.
Simplify and express each of the following in exponential form:

Solution:





Question 4.
Express each of the following as a product of prime factors only in exponential form:
(i) 108 × 192
(ii) 270
(iii) 729 × 64
(iv) 768.
Solution:



Question 5.
Simplify

Solution:


Question 1.
Write the following numbers in the expand forms :
(i) 279404
(ii) 3006194
(iii) 2806196
(iv) 120719
(v) 20068.
Solution:


Question 2.
Find the number from each of the following expanded forms :

Solution:

Question 3.
Express the following numbers in standard form:
Solution:
Question 4.
Express the number appearing in the following statements in standard form :
Solution: