Getstudysolution is an online educational platform that allows students to access quality educational services and study materials at no cost.
Question 1.
List any four symmetrical objects from your home or school.
Solution :
The blackboard, the table top, a pair of scissors, the computer disc.
Question 2.
For the given figure, which one is the mirror line, l1 or l2?

Solution :
I2 is the mirror line.
Question 3.
Identify the shapes given below. Check whether they are symmetric or not. Draw the line of symmetry as well.

Solution :
(a) Symmetric

(b) Symmetric

(c) Not symmetric
(d) Symmetric

(e) Symmetric

(f) Symmetric

Question 4.
Copy the following on a squared paper. A square paper is what you would have used in your arithmetic notebook in earlier classes. Then complete them such that the dotted line is the line of symmetry.



Solution :



Question 5.
In the figure, l is the line of symmetry. Complete the diagram to make it symmetric.

Solution :

Question 6.
In the figure, l is the line of symmetry. Draw the image of the triangle and complete the diagram so that it becomes symmetric.

Solution :

Question 1.
Find the number of lines of symmetry for each of the following shapes :

Solution :

Question 2.
Copy the triangle in each of the following figures, on squared paper. In each case, draw the line(s) of symmetry if any and identify the type of triangle. (Some of you may like to trace the figures and try paper-folding first!)

Solution :


Question 3.
Complete the following table :

Solution :

Question 4.
Can you draw a triangle which has
(a) exactly one line of symmetry?
(b) exactly two lines of symmetry?
(c) exactly three lines of symmetry?
(d) no lines of symmetry?
Sketch a rough figure in each case.
Solution :
(a) Yes; an isosceles triangle

(b) No
(c) Yes; an equilateral triangle

(d) Yes, an equilateral triangle

Question 5.
On a squared paper, sketch the following:
(a) A triangle with a horizontal line of symmetry’ but no vertical line of symmetry.
(b) A quadrilateral with both horizontal and vertical lines of symmetry.
(c) A quadrilateral with a horizontal line of symmetry but no vertical line of symmetry.
(d) A hexagon with exactly two lines of symmetry.
(e) A hexagon with six lines of symmetry.
(Hint: It will be helpful if you first draw the lines of symmetry and then complete the figures.)
Solution :


Question 6.
Trace each figure and draw the lines of symmetry, if any :



Solution :

no line symmetry


Question 7.
Consider the letters of English alphabets A to Z. List among them the letters which have
(a) vertical lines of symmetry (like A)
(b) horizontal lines of symmetry (like B)
(c) no lines of symmetry (like Q)

Solution :
(a) A, H, I, M, O, T, U, V, W, X, Y
(b) B, C, D, E, H, I, K, O, X
(c) F, G, J, L, N, P, Q, R, S, Z
Question 8.
Given here are figures of a few folded sheets and designs drawn about the fold. In each case, draw a rough diagram of the complete figure that would be seen when the design is cut off.

Solution :

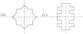
Question 1.
Find the number of lines of symmetry in each of the following shapes. How will you check your answers?


Solution :
(a)

Number of lines of symmetry = 4
(b)

Number of lines of symmetry = 1
(c)

Number of lines of symmetry = 2
(d)

Number of lines of symmetry = 2
(e)

Number of lines of symmetry = 1
(f)

Number of lines of symmetry = 2
Question 2.
Copy the following drawing on squared paper. Complete each one of them such that the resulting figure has the two dotted lines as two lines of symmetry :

How did you go about completing the picture?
Solution :




Using the given lines of symmetry, we go about completing the picture.
Question 3.
In each figure alongside, a letter of the alphabet is shown along with a vertical line. Take the mirror image of the letter in the given line. Find which letters look the same after reflection (i.e., which letters look the same in the image) and which do not. Can you guess why?

Solution :
The letter A looks the same after reflection but not the letter B. The reason is that in reflection, the sense of direction changes. In the given letters, the letters O, M, N, H, T, V, and X look the same after reflections because these letters have a vertical line of symmetry.