Getstudysolution is an online educational platform that allows students to access quality educational services and study materials at no cost.
Question 1.
A plastic box 1.5 m long, 1.25 m wide and 65 cm deep is to be made. It is opened at the top. Ignoring the thickness of the plastic sheet, determine
(i) The area of the sheet required for making the box.
(ii) The cost of sheet for it, if a sheet measuring 1m2 costs ₹20.
Solution:
We have a plastic box of
l = length = 15 m
b = width = 1.25 m
h = depth = 65 cm
=
Surface area of the box = 2 (lb + bh + hl)
= 2(1.5 x 1.25 + 1.25 x 0.65 + 0.65 x 1.5)
= 2(1.875 + 0.8125 + 0.975) = 2 (3.6625)
= 7.325 m2
(i) Area of the sheet required for making the box
= 7.325 – l x b (∵ BOX is opened at the top)
= 7.325 – 1.5 x 1.25
= 7.325 – 1.875 = 5.45 m2
(ii) A sheet measuring 1 m2 costs = ₹20
∴ Sheet measuring 5.45 m2 costs = ₹20 x 5.45 = ₹109
Question 2.
The length, breadth and height of a room are 5 m, 4 m and 3 m, respectively. Find the cost of white washing the walls of the room and the ceiling at the rate of ₹17.50 per m2.
Solution:
We have a room of l = 5m
b = 4m
h = 3m
Required area for white washing
= Area of the four walls + Area of ceiling
= 2(l+ b) x h+ (l x b)
= 2(5+4) x 3 +(5 x 4)
= 2x 9x 3 + 20
= 54+20
= 74 m2
White washing 1 m2 costs = ₹7.50
White washing 74 m2 costs = ₹7.50x 74 = ₹555
Question 3.
The floor of a rectangular hall has a perimeter 250 m. If the cost of painting the four walls at the rate of ₹10 per m2 is ₹15000, find the height of the hall.
[Hint Area of the four walls = Lateral surface area]
Solution:
Let the rectangular hall of length = l, breadth = b, height = h

Hence, the height of the hall is 6 m.
Question 4.
The paint in a certain container is sufficient to paint an area equal to 9.375 m2. How many bricks of dimensions 22.5 cm x 10 cm x 7.5 cm can be painted out of this container.
Solution:
Given, dimensions of a brick
l = 22.5 cm, b = 10 cm
and b = 7.5cm
Total surface area of bricks = 2 ( l x b + b x h + h x l)
= 2(22.5 x 10 + 10 x 75 + 75 x 225)
= 2(225 + 75 + 168.75)
= 2 x 468.75 cm2
= 9375 cm2
![]()
Number of bricks that painted out of this container

Question 5.
A cubical box has each edge 10 cm and another cuboidal box is 12.5 cm long, 10 cm wide and 8 cm high.
(i) Which box has the greater lateral surface area and by how much?
(ii) Which box has the smaller total surface area and by how much?
Solution:
We have l1 for cubical box = 10 cm
For cuboidal box l= 12.5 cm
b = 10 cm
h = 8 cm
(i) Lateral surface area of cubical box = 4l2 = 4(10)2
= 4 x 100
= 400 cm2
Lateral surface area of cuboidal box = 4 (l + b) x h
= 2 (125 + 10) x 8
= 2 (225) x 8
= 45 x 8 = 360 cm2
(∵ Lateral surface area of cuboidal box) > (Lateral surface area of cuboidal box) (∵ 400 >360)
∴ Required area = (400 – 360) cm2 = 40 cm2
(ii) Total surface area of cubical box = 6l2 = 6(10)2 = 6x 100= 600 cm2
Total surface area of cuboidal box = 2 ( l x b + b x h + h x l)
= 2(125 x 10 + 10 x 8 + 8 x 125)
= 2(125 + 80+ 100)
= 2 x 305
= 610 cm2
∴ (Area of cuboidal box) > (Area of cubical box) (∵ 610 > 600)
Required area = (610 – 600)cm2 = 10 cm2
Question 6.
A small indoor greenhouse (herbarium) is made entirely of glass panes (including base) held together with tape. It is 30 cm long, 25 cm wide and 25 cm high.
(i) What is the area of the glass?
(ii) How much of tape is needed for all the 12 edges?
Solution:
Dimension for herbarium are
l = 30 cm, b = 25 cm and h = 25 cm
Area of the glass = 2 (l x b + b x h + h x l)
= 2 ( 30 x 25 + 25 x 25 + 25 x 30)
= 2(750 + 625 + 750) = 2 (2125) = 4250cm2
∴ Length of the tape = 4 (l + b + h) = 4(30 + 25 + 25)
[∵ Herbarium is a shape of cuboid length = 4 (1+ b + h)] = 4×80= 320cm
Question 7.
Shanti Sweets Stalll was placing an order for making cardboard boxes for packing their sweets. Two sizes of boxes were required. The bigger of dimensions 25 cm x 20 cm x 5 cm and the smaller of dimensions 15 cm x 12 cm x 5 cm. For all the overlaps, 5% of the total surface area is required extra. If the cost of the cardboard is ₹4 for 1000 cm2, find the cost of cardboard required for supplying 250 boxes of each kind.
Solution:
Dimension for bigger box, l = 25 cm, b = 20 cm and b = 5 cm
Total surface area of the bigger size box
=2 ( l x b + b x h + h x l)
= 2(25 x 20 + 20 x 5 + 5 x 25)
= 2(500+ 100+ 125)
= 2(725)= 1450 cm2
Dimension for smaller box, l = 15 cm b = 12 cm and h = 5 cm
Total surface area of the smaller size box = 2(15 x 12 + 12 x 5 + 5 x 15)
= 2 (180 + 60 + 75)= 2 (315)= 630 cm2
Area for all the overlaps = 5% x 2080 cm2 =
Total surface area of both boxes and area of overlaps = (2080 + 104) cm2 = 2184 cm2
Total surface area for 250 boxes = 2184 x 250 cm2
Cost of the cardboard for 1000 cm2 = ₹4
Costs of the cardboard for 1 cm = ₹
Cost of the cardboard for 2184 x 250 cm2 = ₹
Question 8.
Parveen wanted to make a temporary shelter, for her car, by making a box-like structure with tarpaulin that covers all the four sides and the top of the car (with the front face as a flap which can be rolled up). Assuming that the stitching margins are very small and therefore negligible, how much tarpaulin would be required to make the shelter of height 2.5 m, with base dimensions 4 m x 3 m?
Solution:
Dimension for shetter, l = 4 m, b = 3 m and h = 25 cm
Required area of tarpaulin to make the shelter
= (Area of 4 sides + Area of the top) of the car
= 2(l + b) x h+ ( l x b)
= 2(4+ 3) x 25 + (4 x 3)
= (2 x 7 x 25) + 12 = 35 + 12
= 47 m2
Question 1.
The curved surface area of a right circular cylinder of height 14 cm is 88 cm2. Find the diameter of the base of the cylinder.
Solution:
We have, height = 14 cm
Curved surface area Of a right circular cylinder = 88 cm2

r = 1 cm
Diameter = 2 x Radius = 2 x 1 = 2 cm
Question 2.
It is required to make a closed cylindrical tank of height 1 m and base diameter 140 cm from a metal sheet. How many square metres of the sheet are required for the same?
Solution:
Let r be the radius and h be the height of the cylinder.
Given, r =
and h = 1 m
Metal sheet required to make a closed cylindrical tank
= Total surface area
= 2πr (h + r)
= 2 x
= 2 x 22 x 0.1 x 170 = 7.48m2
Hence, the sheet required to make a closed cylindrical tank = 7.48m2
Question 3.
A metal pipe is 77 cm long. The inner ft diameter of a cross section is 4 cm, the outer diameter being 4.4 cm (see figure). Find its
(i) inner curved surface area.
(ii) outer curved surface area.
(iii) total surface area.

Solution:
We have, h = 77cm
Outer diameter (d1) = 4.4 cm
and inner diameter (d2) = 4 cm
Outer radius (r1) = 2.2 cm
Inner radius (r2) = 2cm
(i) Inner curved surface area = 2πr2h = 2x
(ii) Outer curved surface area = 2πr1h
= 2 x
= 44 x 2.2 x 11= 1064.8cm2
(iii) Total surface area = Inner curved surface area + Outer curved surface area + Areas of two bases
= 968 + 1064.8 + 2
= 968 + 1064.8 + 2 x
= [2032.8 + 2 x
= 2032.8 +
= 2032.8 + 5.28 cm2 = 2038.08 cm2
Question 4.
The diameter of a roller is 84 cm and its length is 120 cm. It takes 500 complete revolutions to move once over to level a playground. Find the area of the playground in m2.
Solution:
We have, diameter of a roller = 84 cm
r = radius of a roller = 42 cm
h = 120 cm
To cover 1 revolution = Curved surface area of roller
= 2πrh
= 2 x
= 44 x 720 cm2
= 31680 cm2
![]()
Area of the playground = Takes 500 complete revolutions = 500 x 3.168 m2
= 1584 m2
Question 5.
A cylindrical pillar is 50 cm in diameter and 3.5 m in height. Find the cost of painting the curved surface of the pillar at the rate of ₹12.50 per m2.
Solution:
Given, Diameter = 50 cm

Curved surface area of the pillar = 2πrh = 2 x
= 2 x 22 x 0.25 x 0.5 = 55 m2
Cost of painting per m2 = ₹ 12.50
Cost of painting 5.5 m2 = ₹ 12.50×5.5 = ₹ 68.75
Question 6.
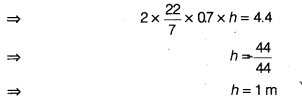
Curved surface area of a right circular cylinder is 4.4 m2. If the radius of the base of the cylinder is 0.7 m, find its height.Curved surface area of a right circular cylinder is 4.4 m2. If the radius of the base of the cylinder is 0.7 m, find its height.
Solution:
We have, curved surface area of a right circular cylinder = 4.4m2
∴ 2πrh = 4.4

Hence, the height of the right circular cylinder is 1 m
Question 7.
he inner diameter of a circular well is 3.5 m. It is 10 m deep. Find
(i) its inner curved surface area.
(ii) the cost of plastering this curved surface at the rate of ₹40 per m2.
Solution:
We have, inner diameter = 3.5 m
∴ inner radius =
and h= 10m
(i) Inner curved surface area = 2πrh = 2x
(ii) Cost of plastering perm2 = ₹40
Cost of plastering 110 m2 = ₹40x 110= ₹4400
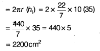
Question 8.
In a hot water heating system, there is a cylindrical pipe of length 28 m and diameter 5 cm. Find the total radiating surface in the system.
Solution:
We have, h = 28 m
Diameter = 5 cm
![]()
Total radiating surface in the system = Curved surface area of the cylindrical pipe
= 2πrh =2 x
Question 9.
Find
(i) the lateral or curved surface area of a closed cylindrical petrol storage tank that is 4.2 m in diameter and 4.5 m high.
(ii) how much steel was actually used, if
Solution:
(i) We have, diameter = 4.2 m

Since,

Question 10.
In figure, you see the frame of a lampshade. It is to be covered with a decorative cloth. The frame has a base diameter of 20 cm and height of 30 cm. A margin of 2.5 cm is to be given for folding it over the top and bottom of the frame. Find how much cloth is required for covering the lampshade.

Solution:
Given r =
h = 30 cm
Since, a margin of 2.5 cm is used for folding it over the top and bottom so the total height of frame,
h1 = 30 + 25 + 25
h1 = 35 cm
∴ Cloth required for covering the lampshade = Its curved surface area

Question 11.
The students of a Vidyalaya were asked to participate in a competition for making and decorating penholders in the shape of a cylinder with a base, using cardboard. Each penholder was to be of radius 3 cm and height 10.5 cm. The Vidyalaya was to supply the competitors with cardboard. If there were 35 competitors, how much cardboard was required to be bought for the competition?
Solution:
Cardboard required by each competitor
= Base area + Curved surface area of one penholder
= πr2 + 2πrh [Given, h = 10.5 cm, r = 13cm]
=
= (28.28 + 198) cm2
= 22828 cm2
For 35 competitors cardboard required = 35 x 22628 = 7920 cm2
Hence, 7920 cm2 of cardboard was required to be bought for the competition.
Question 1.
Diameter of the base of a cone is 10.5 cm and its slant height is 10 cm. Find its curved surface area.
Solution:
We have, diameter = 10.5 cm
Radius (r) =
and slant height l= 10 cm
Curved surface area = πrl=
Question 2.
Find the total surface area of a cone, if its slant height is 21 m and diameter of its base is 24 m.
Solution:
We have, slant height l = 21 m
and diameter = 24 cm

Question 3.
Curved surface area of a cone is 308 cm2 and its slant height is 14 cm. Find
(i) radius of the base and
(ii) total surface area of the cone.
Solution:
We have, slant height, l= 14cm
Curved surface area of a cone = 308 cm2

Question 4.
A conical tent is 10 m high and the radius of its base is 24 m. Find
(i) slant height of the tent.
(ii) cost of the canvas required to make the tent, if the cost of 1 m2 canvas is ₹70.
Solution:
We have, h = 10 m

Hence, the slant height of the canvas tent is 26 m.
(ii) Canvas required to make the tent = Curved surface area of tent
= πrl
= π x 24 x 26 = 624π m2
∵ Cost of 1 m2 canvas = ₹ 70
Cost of 624n m2 canvas = ₹ 70 x 624π
= ₹ 70x 624 x
= ₹ 10 x 624 x 22
= ₹ 137280
Hence, the cost of the canvas is ₹ 137280.
Question 5.
What length of tarpaulin 3 m wide will be required to make conical tent of height 8 m and base radius 6m? Assume that the extra length of material that will be required for stitching margins and wastage in cutting is approximately 20 cm. (Use π = 3.14)
Solution:
Let r, h and l be the radius, height and slant height of the tent, respectively.

The extra material required for stitching margins and cutting = 20 cm = Q2 m Hence, the total length of tarpaulin required = 62.8 + Q2 = 63 m
Question 6.
The slant height and base diameter of a conical tomb are 25 m and 14 m respectively. Find the cost of white-washing its curved surface at the rate of ₹ 210 per 100 m2.
Solution:
We have, slant height, l = 25m
and diameter = 14m
∴ Radius, r= 7m


Question 7.
A joker’s cap is in the form of a right circular cone of base radius 7 cm and height 24 cm. Find the area of the sheet required to make 10 such caps.
Solution:

∵ The sheet required to make 1 cap = 550 cm2
∴ The sheet required to make 10 caps = 550 x 10= 5500 cm2
Question 8.
A bus stop is barricaded from the remaining part of the road, by using 50 hollow cones made of recycled cardboard. Each cone has a base diameter of 40 cm and height 1 m. If the outer side of each of the cones is to be painted and the cost of painting is ₹12 per m2, what will be the cost of painting all these cones? (Use π = 3.14 and take
Solution:

Curved surface area of a cone = πrl = 3.14 x 0.2 x 1.02 = 0.64056 m2
Cost of painting per m2 = ₹12
Cost of painting 0.64056 m2 = ₹12 x 0.64056= ₹ 7.68672
Cost of painting for 1 cone = ₹ 7.68672
Cost of painting 50 cones = ₹ 7.68672x 50= ₹ 384.336= ₹ 384.34
Question 1.
Find the surface area of a sphere of radius
(i) 10.5 cm
(ii) 5.6 cm
(iii) 14 cm
Solution:
(i) We have, r = 105 cm

Question 2.
Find the surface area of a sphere of diameter
(i) 14 cm
(ii) 21 cm
(iii) 3.5 m
Solution:

Question 3.
Find the total surface area of a hemisphere of radius 10 cm. (Use π = 3.14)
Solution:
We have, r = 10 cm
Total surface area of a hemisphere = 3πr2
= 3 x 3.14 x (10)2
= 9.42 x 100
= 942 cm2
Question 4.
The radius of a spherical balloon increases from 7 cm to 14 cm as air is being pumped into it. Find the ratio of surface areas of the balloon in the two cases.
Solution:
Let initial radius, r1 = 7 cm
After increases, r2 = 14 cm
Surface area for initial balloon = 4πr12 = 4 x
A1 = 616 cm2
Surface area for increasing balloon = 4πr22 = 4x
A2 = 2464 cm2
∴ Required ratio = A1 : A2 = 616 : 2464 = 1 : 4
Question 5.
A hemispherical bowl made of brass has inner diameter 10.5 cm. Find the cost of tin-plating it on the inside at the rate of ₹16 per 100 cm2.
Solution:
We have, inner diameter = 10.5 cm
Inner radius =
Curved surface area of hemispherical bowl of inner side = 2πr2

Question 6.
Find the radius of a sphere whose surface area is 154 cm2.
Solution:
Surface area of a sphere = 154 cm2


Hence, the radius of the sphere is 3.5 cm.
Question 7.
The diameter of the Moon is approximately one-fourth of the diameter of the Earth. Find the ratio of their surface areas.
Solution:
Let diameter of the Earth = d1

Question 8.
A hemispherical bowl is made of steel, 0.25 cm thick. The inner radius of the bowl is 5 cm. Find the outer curved surface area of the bowl.
Solution:
Outer radius of the bowl = (Inner radius + Thickness)
= ( 5 + 0.25) cm = 5.25 cm

Question 9.
A right circular cylinder just encloses a sphere of radius r (see figure). Find
(i) surface area of the sphere,
(ii) curved surface area of the cylinder,
(iii) ratio of the areas obtained in (i) and (ii).
Solution:

The radius of the sphere = r
Radius of the cylinder = Radius of the sphere = r
Height of the cylinder = Diameter = 2r
(i) Surface area of the sphere A1 = 4πr2
(ii) Curved surface area of the cylinder = 2πrh
A2 = 2π x r x 2r
A2 = 4πr2
(iii) Required ratio = A1 :A2 = 4πr2 : 4πr2 = 1 : 1
Question 1.
A matchbox measures 4 cm x 2.5 cm x 1.5 cm. What will be the volume of a packet containing 12 such boxes?
Solution:
Volume of a match box = 4 cm x 2.5 cm x 1.5 cm= 15 cm3
Volume of a packet = 12 x 15 cm3 = 180 cm3
Question 2.
A cuboidal water tank is 6 m long, 5 m wide and 4.5 m deep. How many litres of water can it hold? ( 1 m3 = 1000L)
Solution:
Volume of a cuboidal water tank = 6 m x 5 m x 4.5 m
= 30 x 4.5 m3 = 135 m3
= 135 x 1000L = 135000L (∵ 1 m3 = 1000L)
Question 3.
A cuboidal vessel is 10 m long and 8 m wide. How high must it be made to hold 380 cubic metres of a liquid?
Solution:
Volume of a cuboidal vessel = hold liquid
∴ l x b x h = 380 m3
⇒ 10 x 8 x h = 380
⇒ h =
⇒ h= 4.75m
Hence, the cuboidal vessel must be made 4.75 m high.
Question 4.
Find the cost of digging a cuboidal pit 8 m long, 6 m broad and 3 m deep at the rate of ₹30 per m3.
Solution:
Volume of a cuboidal pit = l x bx h= (8 x 6 x 3)m3 =144 m3
∵ Cost of digging per m3 = ₹ 30
∴ Cost of digging 144m3 = ₹ 30x 144 = ₹ 4320
Question 5.
The capacity of a cuboidal tank is 50000 litres of water. Find the breadth of the tank, if its length and depth are 2.5 m and 10 m, respectively.
Solution:
Given, l = 2.5 m and h = 10m
Let breadth of tank be b.

Hence, breadth of the cuboidal tank is 2 m.
Question 6.
A village, having a population of 4000, requires 150 litres of water per head per day. It has a tank measuring 20 m x 15 m x 6 m. For how many days will the water of this tank last?
Solution:

Question 7.
A go down measures 40 m x 25 m x 10 m. Find the maximum number of wooden crates each measuring 15 m x 125 m x 0.5 m that can be stored in the go down.
Solution:
Dimension for godown, l = 40m b = 25 m and c = 10 m
Volume of the godown = l x b x h= 40 m x 25 m x 10 m
Dimension for wooden gate l = 1.5 m, b = 1.25 m, b = 1.25 m, h = 0.5 m
Volume of wooden gates = l x b x h = 1.5 m x 1.25 m x 0.5m

Question 8.
A solid cube of side 12 cm is cut into eight cubes of equal volume. What will be the side of the new cube? Also, find the ratio between their surface areas.
Solution:
Volume of a solid cube = 12 cm x 12 cm x 12 cm = 1728 cm3
The solid cube is cut into eight cubes of equal volume.

Question 9.
A river 3 m deep and 40 m wide is flowing at the rate of 2 km per hour. How much water will fall into the sea in a minute?
Solution:
Given, l = 2 km= 2 x 1000 m = 2000m
b = 40 m
and h = 3 m
Since, the water flows at the rate of 2 km h-1,
i.e., the water from 2 km of river flows into the sea in one hour.
The volume of water flowing into the sea in one hour = Volume of the cuboid
= l x b x h
= (2000 x 40 x 3) m3
= 240000 m3
∴ The volume of water flowing into the sea in one minute
=
= 4000 m3
Question 1.
The circumference of the base of a cylindrical vessel is 132 cm and its height is 25 cm. How many litres of water can it hold? (1000cm3 =1 L.)
Solution:
We have, circumference of the base = 132 cm
∴ 2πr = 132

Question 2.
The inner diameter of a cylindrical wooden pipe is 24 cm and its outer diameter is 28 cm. The length of the pipe is 35 cm. Find the mass of the pipe, if 1 cm3 of wood has a mass of 0.6 g.
Solution:
Given, inner diameter = 24 cm
Inner radius (r1) = 12cm
Outer diameter = 28 cm
Outer radius (r2) = 14cm
h = 35cm

Question 3.
A soft drink is available in two packs
(i) a tin can with a rectangular base of length 5 cm and width 4 cm, having a height of 15 cm.
(ii) a plastic cylinder with circular base of diameter 7 cm and height 10 cm. Which container has greater capacity and by how much?
Solution:
(i) We have, h = 15cm
l = 5cm, b = 4cm, h = 15 cm
Volume of cuboidical body =l x b x h= 5 x 4 x 15 = 300cm3 …(i)
(ii) We have, Diameter = 7cm
Radius, r =
Height, h = 10cm

∴ From Eqs. (i) and (ii), we see that volume of a plastic cylinder has greater capacity and its capacity is 385 – 300 = 85 cm3 is more than the tin can.
Question 4.
If the lateral surface of a cylinder is 94.2 cm2 and its height is 5 cm, then find
(i) radius of its base,
(ii) its volume. (Use π = 3.14)
Solution:
We have, lateral surface of a cylinder = 94.2 cm2 and h = 5 cm
∴ 2πrh = 94.2
⇒ 2 x 3.14 x r x 5 = 94.2
⇒ r =
⇒ r = 3 cm
(i) Hence, radius of base, r = 3cm
(ii) Volume of a cylinder = πr2h= 3.14(3)2x 5
= 3.14 x 9 x 5
= 141.3 cm3
Question 5.
It costs ₹2200 to paint the inner curved surface of a cylindrical vessel 10 m deep. If the cost of painting is at the rate of ₹20 per m2, find
(i) inner curved surface area of the vessel,
(ii) radius of the base,
(iii) capacity of the vessel.
Solution:
We have, cost to paint the inner curved surface = ₹2200
Cost to paint per m2 = ₹20

(i) Inner curved surface area of the vessel = 110m2
(ii) Hence, radius of the base is 1.75 m.
(iii) Capacity of the vessel = Volume of the vessel

Question 6.
The capacity of a closed cylindrical vessel of height 1 m is 15.4 litres. How many square metres of metal sheet would be needed to make it?
Solution:
Capacity of a closed cylindrical vessel = 15.4 L
= 15.4 x 1000cm3 (∵ 1L = 1000 cm2)
∴ πr2h = 15400 cm3
πr2 x 100 = 15400
r2 = 154 x
⇒ r2 = 7 x 7
⇒ r = 7 cm
Total surface area of closed cylindrical vessel = 2πr(r + h)

Question 7.
A lead pencil consists of a cylinder of wood with a solid cylinder of graphite filled in the interior. The diameter of the pencil is 7 mm and the diameter of the graphite is 1 mm. If the length of. the pencil is 14 cm, find the volume of the wood and that of the graphite.
Solution:

Question 8.
A patient in a hospital is given soup daily in a cylindrical bowl of diameter 7 cm. If the bowl is filled with soup to a height of 4 cm, how much soup the hospital has to prepare daily to serve 250 patients?
Solution:
We have, diameter = 7cm
Radius, r =
h= 4 cm
Capacity of the cylindrical bowl = Volume of the cylinder = πr2h

Question 1.
Find the volume of the right circular cone with
(i) radius 6 cm, height 7 cm
(ii) radius 3.5 cm, height 12 cm
Solution:
(i) We have, r = 6 cm and h = 7cm

Question 2.
Find the capacity in litres of a conical vessel with
(i) radius 7 cm, slant height 25 cm
(ii) height 12 cm, slant height 13 cm
Solution:
(i) We have, r = 7 cm and l = 25 cm

Question 3.
The height of a cone is 15 cm. If its volume is 1570 cm3, find the radius of the base. (Use π = 3.14)
Solution:

Question 4.
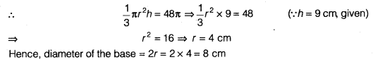
If the volume of a right circular cone of height 9 cm is 48 cm3, find the diameter of its base.
Solution:
We have, volume of a right circular cone = 48 π cm3

Question 5.
A conical pit of top diameter 3.5 m is 12 m deep. What is its capacity in kilolitres?
Solution:
We have, diameter = 3.5 m

Question 6.
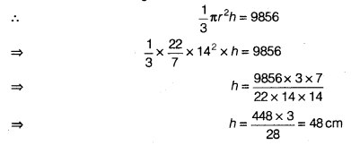
The volume of a right circular cone is 9856 cm3. If the diameter of the base is 28 cm, find
(i) height of the cone
(ii) slant height of the cone
(iii) curved surface area of the cone
Solution:
We have, d = 28cm
⇒ r = 14 cm
∵ Volume of a right circular cone = 9856 cm3


Question 7.
A right triangle ABC with sides 5 cm, 12 cm and 13 cm is revolved about the side 12 cm. Find the volume of the solid so obtained.
Solution:
On revolving the right ∆ ABC about the side AB, we get a cone as shown in the adjoining figure.

∴ Volume of the solid so obtained =
=
Hence, the volume of the solid so obtained is 100π cm3.
Question 8.
If the triangle ABC in the Question 7 above is revolved about the side 5 cm, then find the volume of the solid so obtained. Find also the ratio of the volumes of the two solids obtained in Questions 7 and 8.
Solution:
On revolving the right ∆ ABC about the side BC( = 5 cm),
we get a cone as shown in the adjoining figure.

In above Question 7, the volume V2 obtained by revolving the ∆ ABC about the side 12 cm i.e., V2 = 100π cm3.
![]()
Hence, the required ratio =5:12
Question 9.
A heap of wheat is in the form of a cone whose diameter is 10.5 m and height is 3 m. Find its volume. The heap is to be covered by canvas to protect it from rain. Find the area of the canvas required.
Solution:

Question 1.
Find the volume of a sphere whose radius is
(i) 7 cm
(ii) 0.63 cm
Solution:
(i) We have, r = 7 cm

Question 2.
Find the amount of water displaced by a solid spherical ball of diameter
(i) 28 cm
(ii) 0.21 m
Solution:
(i) We have, d = 28 cm
⇒ r = 14 cm

Question 3.
The diameter of a metallic ball is 4.2 cm. What is the mass of the ball, if the density of the metal is 8.9 g per cm3?
Solution:
We have, d = 4.2 cm ⇒ r = 2.1 cm

The density of the metal per cm3 = 8.9 g
The density of the metal 38.808 cm3 = 38.808 x 8.9 g = 345.39 g
Hence, the mass of the ball = 345.39 g
Question 4.
The diameter of the Moon is approximately one-fourth of the diameter of the Earth. What fraction of the volume of the Earth is the volume of the Moon?
Solution:
Let diameter of the Earth is d3.
We have, diameter of Moon (d1) =

Question 5.
How many litres of milk can a hemispherical bowl of diameter 10.5 cm hold?
Solution:
Diameter = 10.5 cm
⇒ Radius, r = 5.25 cm

Question 6.
A hemispherical tank is made up of an iron sheet 1 cm thick. If the inner radius is 1 m, then find the volume of the iron used to make the tank.
Solution:
Inner radius (r1) = 1 m -100 cm
Outer radius (r2) = (100 + 1)cm ( ∵ Inner radius + Thickness)
= 101 cm

Question 7.
Find the volume of a sphere whose surface area is 154 cm2.
Solution:
We have, surface area of a sphere = 154 cm2

Question 8.
A dome of a building is in the form of a hemisphere. From inside, it was white washed at the cost of ₹498.96. If the cost of white washing is ₹2.00 per square metre, find the
(i) inside surface area of the dome,
(ii) volume of the air inside the dome.
Solution:
Cost of white washed = ₹ 498.96
Cost of white washing per square metre = ₹ 2.00

Question 9.
Twenty seven solid iron spheres, each of radius r and surface area S are melted to form a sphere with surface area S’. Find the
(i) radius r’ of the new sphere,
(ii) ratio of S and S’.
Solution:

Question 10.
A capsule of medicine is in the shape of a sphere of diameter 3.5 mm. How much medicine (in mm3) is needed to fill this capsule?
Solution:
We have, diameter = 3.5 mm

Question 1.
A wooden bookshelf has external dimensions as follows : Height = 110cm, Depth = 25cm, Breadth = 85cm (see figure). The thickness of the plank is 5 cm everywhere. The external faces are to be polished and the inner faces are to be painted. If the rate of polishing-is 20 paise per cm2 and the rate of pointing is 10 paise per cm2, find the total expenses required for palishing and painting the surface of the bookshelf.

Solution:
Here, l = 85 cm b = 25 cm and h = 110 cm
Area of the bookshelf of outer surface = 2 lb + 2bh + hl
= [2(85 x 25)+ 2(110 x 25)+ 85×110] cm2 = (4250 + 5500 + 9350) cm2 = 19100 cm2
Cost of polishing of the outer surface of bookshelf
= 19100 x
Thickness of the plank = 5 cm
Internal height of bookshelf = (110 – 2 x 5) = 100 cm
Internal depth of bookshelf = (25 – 5) = 20 cm
Internal breadth of bookshelf = 85 – 2 x 5 = 75 cm
Hence, area of the internal surface of bookshelf
= 2(75 x 20)+ 2(100x 20)+ 75×100
= 3000 + 4000 + 7500 = 14500 cm2
So, cost of painting of internal surface of bookshelf
= 14500 x
Hence, total costing of polishing and painting = 3820 + 1450= ₹ 5270
Question 2.
The front compound wall of a house is decorated by wooden spheres of diameter 21 cm, placed on small supports as shown in figure. Eight such spheres are-used for this purpose, and are to be painted silver. Each support is a cylinder of radius 1.5 cm and height 7 cm and is to be painted black. Find the cost of paint required if silver paint costs 25 paise per cm2 and black paint costs 5 paise per cm2.

Solution:
It is obvious, we have to subtract the cost of the sphere that is resting on the supports while calculating the cost of silver paint.
Surface area to be silver paint

Question 3.
The diameter of a sphere is decreased by 25%. By what per cent does its curved surface area decrease?
Solution:
Let d be the diameter of the sphere

