Getstudysolution is an online educational platform that allows students to access quality educational services and study materials at no cost.
Ex 12.1 Class 10 Maths Question 2.
The radii of two circles are 8 cm and 6 cm respectively. Find the radius of the circle having area equal to the sum of the areas of the two circles.
Solution:
Radius of bigger circle = 8 cm
∴ Area of bigger circle = π x (8)2 = 64π cm2
Radius of smaller circle = 6 cm
∴ Area of smaller circle = π x (6)2 = 36π cm2
Sum of areas of two circles = 64π + 36π
= 100π cm2
Let r be the radius of the required circle.
Then πr2 = 100π
⇒ r2 = 100 ⇒ r = = 10 cm.
Question 3.
The given figure depicts an archery target marked with its five scoring regions from the centre outwards as Gold, Red, Blue, Black and White.

The diameter of the region representing Gold score is 21 cm and each of the other bands is 10.5 cm wide. Find the area of each of the five scoring regions.
Solution:

Now, radius of circular region scoring Gold and Red = radius of Gold scoring region + width of Red scoring region = 10.5 + 10.5 = 21 cm.
The combined area of Gold and Red scoring regions
= π(21)2 cm2
∴ Area of Red scoring region = combined area of Gold and Red scoring regions – Area of Gold scoring region

Radius of circular regions scoring Gold, Red, Blue and Black = 10.5 + 10.5 + 10.5 = 42 cm.
similarly, the area of a Black scoring region

Question 4.
The wheels of a car are of diameter 80 cm each. How many complete revolutions does each wheel make in 10 minutes when the car is traveling at a speed of 66 km per hour?
Solution:
Radius of one wheel of the car = 40 cm
= 0.4 m.
Distance covered by the wheel to complete one revolution – 2πr x 0.4 = 0.8 m.
Let the wheel of the car completest revolutions in 10 minutes at a speed of 66 km/h.
Then distance covered by the wheel in making r complete revolutions in 10 minutes
= (0.8π x n ) m
Also, distance travelled by car in 60 minutes
= (66 x 1000) m
∴ Distance travelled by car in 1 minute
m
∴ Distance travelled by car in 10 minutes
m = 11000 m.
According to the question, we have:

Question 5.Question 5.
Tick the correct answer in the following and justify your choice: If the perimeter and the area of a circle are numerically equal, then the radius of the circle is
(a) 2 units
(b) n units
(c) 4 units
(d) 7 units
Solution:
The correct answer is (a) 2 units
Justification:
Perimeter of a circle = 2πr
Area of a circle = πr2
When 2πr = πr2, then r = 2 units.
Question 1.
Find the area of a sector of a circle with radius 6 cm if angle of the sector is 60°.
Solution:
Given: Radius of a sector, r = 6 cm and angle of a sector, θ = 60°
Areas related to circles formulas ?
Question 2.
Find the area of a quadrant of a circle whose circumference is 22 cm.
Solution:
Circumference of a circle = 22 cm [Given]

Question 3.
The length of the minute hand of a clock is 14 cm. Find the area swept by the minute hand in 5 minutes.
Solution:
Angle described by the minute hand in 60 minutes = 360°
Angle described by the minute hand in 5 minutes

Question 4.
A chord of a circle of radius 10 cm subtends a right angle at the center. Find the area of the corresponding:
(i) minor segment
(ii) major segment (Use π = 3.14)
Solution:

Question 5.
In a circle of radius 21 cm, an arc subtends an angle of 60° at the center. Find:
(i) length of the arc.
(ii) area of the sector formed by the arc.
(iii) area of the segment formed by the corresponding chord.
Solution:


Question 6.
A chord of a circle of radius 15 cm subtends an angle of 60° at the center. Find the areas of the corresponding minor and major segments of the circle. (Use π = 3.14 and √3 = 1.73)
Solution:


Question 7.
A chord of a circle of the radius 12 cm subtends an angle of 120° at the center. Find the area of the corresponding segment of the circle. (Use π = 3.14 and √3 = 1.73).
Solution:


Question 8.
A horse is tied to a peg at one corner of a square shaped grass field of side 15 m by means of a 5 m long rope (see figure). Find:

(i) the area of that part of the field in which the horse can graze.
(ii) the increase in the grazing area if the rope were 10 m long instead of 5 m. (Use π = 3.14)
Solution:

Question 9.
A brooch is made with silver wire in the form of a circle with diameter 35 mm. The wire is also used in making 5 diameters which divide the circle into 10 equal sectors as shown in figure.
Find:

(i) the total length of the silver wire required.
(ii) the area of each sector of the brooch.
Solution:


Question 10.
An umbrella has 8 ribs which are equally spaced (see figure). Assuming umbrella to be a flat circle of radius / 45 cm, find the area between the two consecutive ribs of the umbrella.

Solution:

Question 11.
A car has two wipers which do not overlap.
Each wiper has a blade of length 25 cm sweeping through an angle of 115°. Find the total area cleaned at each sweep of the blades.
Solution:
The blade of each wiper sweeps in the form of a sector of radius 25 cm.
The sector angle, θ = 115° [Given]
∴ The area covered by one blade

Question 12.
To warn ships for underwater rocks, a lighthouse spreads a red colored light over a sector of angle 80° to a distance of 16.5 km. Find the area of the sea over which the ships are warned. (Use π = 3.14)
Solution:

Question 13.
A round table cover has six equal designs as shown in the figure. If the radius of the cover is 28 cm, find the cost of making the designs at the rate of ₹0.35 per cm². (Use √3= 1.7)

Solution:


Question 14.
Tick the correct answer in the following: Area of a sector of angle p (in degrees) of a circle with radius R is

Solution:
Area of a sector with radius R and angle P

Hence, the correct answer is (d).
Question 1.
Find the area of the shaded region in the given figure, if PQ = 24 cm, PR = 7 cm and O is the centre of the circle.[Unless stated otherwise, use .]

Solution:


Question 2.
Find the area of the shaded region in the given figure, if radii of the two concentric circles with centre O are 7 cm and 14 cm respectively and ∠AOC = 40°.

Solution:
The Radius of smaller circle = 7cm
Angle of sector (θ) = 40°

Question 3.
Find the area of the shaded region in the given figure, if ABCD is a square of side 14 cm and APD and BPC are semicircles.

Solution:
ABCD of the square ABCD = (14 cm)2 = 196 cm2.


Question 4.
Find the area of the shaded region in the figure, where a circular arc of radius 6 cm has been drawn with vertex O of an equilateral triangle OAB of side 12 cm as centre.

Solution:
Area of the equilateral triangle OAB

Question 5.
From each corner of a square of side 4 cm a quadrant of a circle of radius 1 cm is cut and also a circle of diameter 2 cm is cut as shown in the figure. Find the area of the remaining portion of the square.

Solution:
ABCD of the square ABCD = (4)2 cm2 = 16 cm2.
Area of circel inside the square = πr2
= π x (1)2 = π cm2.

Question 6.
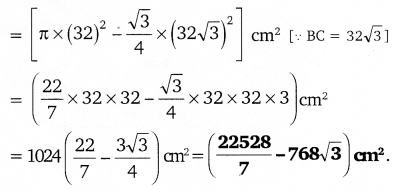
In a circular table cover of (he radius 32 cm, a design Is formed leaving an equilìtcral triangle ABC in the middle as shown in the figure. Find the area of the design (shaded region).

Solution:
Let O be the centre of a circular table and ABC be the equilateral triangle.


Question 7.
In the figure, ABCD is a square of side 14 cm. With centres A, B, C and D, four circles are drawn such that each circle touch externally two of the remaining three circles. Find the area of the shaded region.
Solution:
Each side of the square ABCD = 14 cm.

Question 8.
The given figure depicts a racing track whose left and right ends are semicircular. The distance between the two inner parallel line segments is 60 m and they are each 106 m long. If the track is 10 m wide, find:

(i) the distance around the track along its inner edge.
(ii) the area of the track.
Solution:
The distance around the track along the inner edge = Perimeter of GHI + Perimeter JKL + GL + IJ


Question 9.
In the figure, AB and CD are two diameters of a circle (with centre O) perpendicular to each other and OD is the diameter of the smaller circle. If OA = 7 cm, find the area of the shaded region.

Solution:
Radius of the bigger circle = 7 cm

Question 10.
The area of an equilateral triangle ABC is 17320.5 cm2. With each vertex of the triangle as centre, a circle is drawn with radius equal to half the length of the side of the triangle (see figure). Find the area of the shaded region.
(Use π = 3.14 and √ 3 = 1.73205).

Solution:
Area of ∆ABC = 17320.5 cm2 [Given]


Question 11.
On a square handkerchief, nine circular designs each of the radius 7 cm are made (see figure). Find the area of the remaining portion of the handkerchief.

Solution:
Radius of each circle = 7 cm
∴ Diameter of each circle = 14 cm
∴ Length of the side of the square = 14 cm x 3
= 42 cm

Question 12.
In the figure, OACB is a quadrant of a circle with centre O and radius 3.5 cm. If OD = 2 cm, find the area of the
(i) quadrant OACB,
(ii) shaded region.

Solution:
Radius of the quadrant (r) = 3.5 cm [Given]

Question 13.
In the figure, a square OABC is inscribed in a quadrant OPBQ. If OA = 20 cm, find the area of the shaded region. (Use π = 3.14)

Solution:


Question 14.
AB and CD are respectively arcs of two concentric circles of radii 21 cm and 7 cm and centre O (see figure). If ZAOB=30°, find the area of the shaded region.

Solution:

Question 15.
In the figure, ABC is a quadrant of a circle of radius 14 cm and a semicircle is drawn with BC as diameter. Find the area of the shaded region.

Solution:
In right ∆ABC,


Question 16.
Calculate the area of the designed region in the figure common between the two quadrants of the circles of the radius 8 cm each.

Solution:
