Getstudysolution is an online educational platform that allows students to access quality educational services and study materials at no cost.
Question 1.
A piece of wire of resistance R is cut into five equal parts. These parts are then connected in parallel. If the equivalent resistance of this combination is R’, then the ratio R/R’ is
(a) 1/25
(b) 1/5
(c) 5
(d) 25
Answer:

∴ (d) is correct answer.
Question 2.
Which of the following terms does not represent electrical power in a circuit ?
(a) I2R
(b) IR2
(c) VI
(d) V2/R
Answer:
(b) is correct answer.
Question 3.
An electric bulb is rated as 220 V and 100 W. When it is operated on 110 V the power consumed will be
(a) 100 W
(b) 75 W
(c) 50 W
(d) 25 W
Answer:

∴ (d) is the correct answer.
Question 4.
Two conducting wires of the same material and of equal lengths and equal diameters are first connected in series and then parallel in an electric circuit. The ratio of heat produced in series and parallel combinations would be
(a) 1 :2
(b) 2 : 1
(c) 1 : 4
(d) 4 : 1.
Answer:

(c) is the correct answer.
Question 5.
How is voltmeter connected in circuit to measure the potential difference between two points ? (CBSE 2011, 2012)
Answer:
To measure the potential difference between two points, a voltmeter should be connected in parallel to the points.
Question 6.
A copper wire has diameter 0.5 mm and resistivity of 1.6 x 10-8 Ω m. What will be the length of this wire to make its resistance 10 Ω ? How much does the resistance change if diameter is doubled ?
Answer:

Question 7.
The values of current I flowing in a given resistor for the corresponding values of potential difference V across the resistor are given below :
![]()
Plot a graph between V and I and calculate the resistance of that resistor. (CBSE Sample Paper 2017-18)
Answer:
The slope of the line gives the value of resistance (R) as,
Slope = 1/R = BC/AC = 2/6.8
R= 6.8/2 = 3.4 Ω
Therefore, the resistance of the resistor is 3.4 Ω.

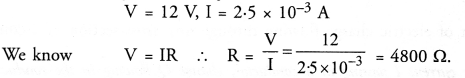
Question 8.
When a 12 V battery is connected across an unknown resistance, there is a current of 2.5 mA in the circuit. Find the value of resistance of the resistor.
Answer:

Question 9.
A battery of 9 V is connected in series with resistors of 0.2 Ω, 0.3 Ω, 0.4 Ω, 0.5 Ω and 12 Ω respectively. How much current would flow through 12 Ω resistor ? (CBSE 2010 Term I)
Answer:

Question 10.
How many 176 Ω resistors (in parallel) are required to carry 5 A on 220 V line ?
Answer:

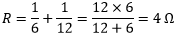
Question 11.
Show how you would connect three resistors, each of resistance 6 Ω, so that the combination has a resistance of (i) 9 Ω, (ii) 4 Ω.
Answer:
If we connect all the three resistors in series, their equivalent resistor would 6 Ω + 6 Ω + 6 Ω =18 Ω, which is not the desired value. Similarly, if we connect all the three resistors in parallel, their equivalent resistor would be

which is again not the desired value.
We can obtain the desired value by connecting any two of the resistors in either series or parallel.
Case (i)

If two resistors are connected in parallel, then their equivalent resistance is

The third resistor is in series, hence the equivalent resistance is calculated as follows:
R = 6 Ω + 3 Ω = 9 Ω
Case (ii)

When two resistors are connected in series, their equivalent resistance is given by
R = 6 Ω + 6 Ω = 12 Ω
The third resistor is connected in parallel with 12 Ω. Hence the equivalent resistance is calculated as follows:

Question 12.
Several electric bulbs designed to be used on a 220 V electric supply line, are rated 10 W. How many lamps can be connected in parallel with each other across the two wires of 220 V line if the maximum allowable current is 5 A?
Answer:
The resistance of the bulb can be calculated using the expression
P1 = V2/R1
R1 = V2/P1
Substituting the values, we get

Hence, 110 lamps can be connected in parallel.
Question 13.
A hot plate of an electric oven connected to a 220 V line has two resistance coils A and B, each of 24 Ω resistance, which may be used separately, in series, or in parallel. What are the currents in the three cases?
Answer:
Case (i) When coils are used separately
Using Ohm’s law, we can find the current flowing through each coil as follows:

9.166 A of current flows through each resistor when they are used separately.
Case (ii) When coils connected in series
The total resistance in the series circuit is 24 Ω + 24 Ω = 48 Ω
The current flowing through the series circuit is calculated as follows:

Therefore, a current of 4.58 A flows through the series circuit.
Case (iii) When coils connected in parallel
When the coils are connected in parallel, the equivalent resistance is calculated as follows:

The current in the parallel circuit is 18.33 A.
Question 14.
Compare the power used in the 2 Ω resistor in each of the following circuits: (i) a 6 V battery in series with 1 Ω and 2 Ω resistors, and (ii) a 4 V battery in parallel with 12 Ω and 2 Ω resistors.
Answer:
(i) The potential difference is 6 V and the resistors 1 Ω and 2 Ω are connected in series, hence their equivalent resistance is given by 1 Ω + 2 Ω = 3 Ω. The current in the circuit can be calculated using the Ohm’s law as follows:

Therefore, the power consumed by the 2 Ω is 8 W.
(ii) When 12 Ω and 2 Ω resistors are connected in parallel, the voltage across the resistors remains the same. Knowing that the voltage across 2 Ω resistor is 4 V, we can calculate the power consumed by the resistor as follows:

The power consumed by the 2 Ω resistor is 8 W.
Question 15.
Two lamps, one rated 100 W at 220 V, and the other 60 W at 220 V, are connected in parallel to electric mains supply. What current is drawn from the line if the supply voltage is 220 V?
Answer:
Since both the bulbs are connected in parallel, the voltage across each of them will be the same.
Current drawn by the bulb of rating 100 W can be calculated as follows:
P = V × I
I = P/V
Substituting the values in the equation, we get
I = 100 W/220 V = 100/220 A
Similarly, the current drawn by the bulb of rating 60 W can be calculated as follows:
I = 60 W/220 V = 60/220 A
Therefore, the current drawn from the line is
Question 16.
Which uses more energy, a 250 W TV set in 1 hr, or a 1200 W toaster in 10 minutes?
Answer:
The energy consumed by electrical appliances is given by the equation
H = Pt, where P is the power of the appliance and t is the time
Using this formula, the energy consumed by a TV of power ration 250 W, can be calculated as follows:
H = 250 W × 3600 seconds = 9 × 105 J
Similarly, the energy consumed by a toaster of power rating 1200 W is
H = 1200 W × 600 s = 7.2 × 105 J
From the calculations, it can be said that the energy consumed by the TV is greater than the toaster.
Question 17.
An electric heater of resistance 8 Ω draws 15 A from the service mains 2 hours. Calculate the rate at which heat is developed in the heater.
Answer:
The rate at which the heat develops in the heater can be calculated using the following formula
P = I2 R
Substituting the values in the equation, we get
P = (15A) 2 × 8 Ω = 1800 J/s
The electric heater produces heat at the rate of 1800 J/s
Question 18.
Explain the following.
a. Why is the tungsten used almost exclusively for filament of electric lamps?
b. Why are the conductors of electric heating devices, such as bread-toasters and electric irons, made of an alloy rather than a pure metal?
c. Why is the series arrangement not used for domestic circuits?
d. How does the resistance of a wire vary with its area of cross-section?
e. Why copper and aluminium wires are usually employed for electricity transmission?
a. The resistivity and melting point of tungsten is very high. Due to this property, it doesn’t burn readily when heated. Electric lamps operate at high temperature. Hence, tungsten is a choice of metal for the filament of electric lamps.
b. The conductors of electric heating devices are alloys because of their high resistivity. Due to its high resistivity it produces large amount of heat.
c. The voltage is divided in series circuit as result each component in the circuit receives a small voltage because of which the amount of current decreases and the device gets hot and does not work properly. This is the reason why series circuits are not used in domestic circuits.
d. Resistance is inversely proportional to the area of cross section. When the area of cross section increases the resistance decreases and vice versa.
e. Copper and aluminium are good conductors of electricity and have low resistivity because of which they are usually employed for electricity transmission.
Question 1.
What does an electric circuit mean ? (CBSE 2011, 2013, 2014)
Answer:
A continuous and closed path of an electric current is called an
electric circuit.
Question 2.
Define the unit of current. (CBSE 2008)
Answer:
Unit of electric current is ampere. One ampere is the current flowing through a circuit, when a charge of one coulomb flows through it in one second.
Question 3.
Calculate the number of electrons consisting one coulomb of charge. (CBSE 2015)
Answer:

Question 4.
Name a device that helps to maintain a potential difference across a conductor. (CBSE 2008)
Answer:
A cell or battery.
Question 5.
What is meant by saying that a potential difference between two points is 1 V ?
[CBSE (Delhi) 2008 ; CBSE (All India) 2008, 2010 Term I]
Answer:
Potential difference between two points is 1 V if 1 joule work is done in moving 1 coulomb charge from one point to another point.
Question 6.
How much energy is given to each coulomb of charge passing through a 6 V battery ?
Answer:
Energy = Charge x Potential difference =1 C X 6 V = 6 J.
Question 7.
On what factors does the resistance of a conductor depend ? (CBSE 2009, 2011, 2012, 2013, 2014)
Answer:
Resistance of a conductor depends on
Question 8.
Will current flow more easily through a thick wire or a thin wire of the same material, when connected to the same source Why ?
Answer:
Area of cross-section

therefore, resistance of thin wire is more than the resistance of thick wire. Hence, current in thick wire flows easily than in thin wire.
Let the resistance of an electrical component remains constant while the potential difference across the ends of the component decreases to half of its former value.
Question 9.
Let the resistance of an electrical component remain constant while the potential difference across the two ends of the component decreases to half of its former value. What change will occur with current through it ?
Answer:

Thus, current in the component becomes half of its former value.
Question 10.
Why are coil of electric toasters and electric irons made of an alloy rather than a pure metal ?
(CBSE 2011, 2012)
Answer:
This is because the resistivity of an alloy is more than the resistivity of a pure metal and hence more heat is produced in an alloy than in pure metal due to the flow of current. Moreover, alloy does not burn (or oxidise) easily even at higher temperature.
Question 11.
Use the data in the table Table 12.2 to answer the following questions.
(a) Which among, iron and mercury is a better conductor ? (resistivity of iron = 10.0 x 10-8 Ω m and resistivity of mercury = 94 x 10-8 Ω m)
(b) Which material is the best conductor ?
Answer:
(a) A material whose resistivity is low is a good conductor of electricity. Therefore, iron is better conductor than mercury.
(b) Silver is the best conductor of electricity.
Question 12.
Draw a schematic diagram of a circuit consisting of a batteries of three of 2 V each, a 5 Ω resistor, 8 Ω resistor and a 12 Ω resistor and a plug key, all connected in series. (CBSE 2011)
Answer:

Question 13.
Redraw the circuit of question 12, putting an ammeter to measure the current through the resistor and a voltmeter to measure the potential difference across 12 Ω resistor. What would be the reading in the ammeter ?
Answer:

Question 14.
Judge the equivalent resistance when the following are connected in parallel :
(a) 1 Ω and 106 Ω
(b) 1 Ω and 103 Ω and 106 Ω.
(CBSE 2013)
Answer:
(a) When resistors are connected in parallel, then equivalent resistance of the combination is less than the least resistance in the combination. Therefore, equivalent resistance of 1 Ω and 106 Ω connected in parallel is approximately 1 Ω but less than 1 Ω.
(b) The equivalent resistance is approximately 1 Ω but less than 1 Ω.
Question 15.
An electric lamp of 100 W, a toaster of resistance 50 Ω, and a water filter of resistance 500 Ω are connected in parallel to 220 V source. What is the resistance of an electric iron connected to the same source that takes as much current as all three appliances and what is the current through it ?
Answer:

Question 16.
What are the advantages of connecting electrical devices in parallel with a battery instead of connecting them in series ?
Answer:
Question 17.
How can three resistors of resistances 2 Ω, 3 Ω and 6 Ω be connected to give a total resistance of
(a) 4 Ω
(b) 1 Ω ? (CBSE 2012)
Answer:
(a) We get 4 Ω resistance if 3 Ω and 6 Ω resistors are connected in parallel and this parallel combination is . connected in series with 2 Ω as shown in figure.


Question 18.
What is
(a) highest
(b) lowest resistance that can be secured by combining four coils of resistances 4 Ω, 8 Ω, 12 Ω, 24 Ω ? (CBSE 2010 Term I, 2012, 2013)
Answer:

Question 19.
Why does the connecting cord of an electric heater not glow while the heating element does ? [CBSE (Delhi) 2008, 2010, 2011, 2013]
Answer:
This is because resistance of cord of electric heater is less than the resistance of heating element. So more heat is produced in the heating element and less heat is produced in the cord. Due to more heat, heating element glows.
Question 20.
Compute the heat generated while transferring 96000 coulomb of charge in one hour through a potential difference of 50 V. (CBSE 2012, 2013)
Answer:

Question 21.
An electric iron of resistance 20 Ω takes a current of 5 A. Calculate the heat developed in 30 seconds. (CBSE 2010)
Answer:
![]()
Question 22.
What determines the rate at which energy is delivered by an electric current ? [CBSE (All India) 2008]
Answer:
Electric power determines the rate at which energy is delivered by an electric current.
Question 23.
An electric motor takes 5 A from a 220 V line. Determine the power of the motor and energy consumed in 2 h.
[CBSE (All India) 2008]
Answer:
Power, P = VI = 220 x 5 = 1100 W
Energy consumed = Power x Time
Where,
Time, t = 2 h = 2 x 60 x 60 = 7200 s
∴ P = 1100 x 7200 = 7.92 x 106 J
Therefore, power of the motor = 1100 W
Energy consumed by the motor = 7.92 x 106 J