Getstudysolution is an online educational platform that allows students to access quality educational services and study materials at no cost.
Question 1.
Get the algebraic expressions in the following cases using variables, constants, and arithmetic operations.
(i) Subtraction of z from y.
Solution:
y – z
(ii) One-half of the sum of numbers x and y.
Solution:
(iii) The number z multiplied by itself.
Solution:
z × z i.e., z2
(iv) One-fourth of the product of numbers p and q.
Solution:
(v) Numbers x and y both squared and added.
Solution:
x2 + y2
(vi) Number 5 added to three times the product of numbers m and n.
Solution:
3mn + 5
(vii) Product of numbers y and z subtracted from 10.
Solution:
10 – yz
(viii) Sum of numbers a and 6 subtracted from their product.
Solution:
ab – (a + b)
Question 2.
(i) Identify the terms and their factors in the following expressions. Show the terms and factors by tree diagrams :
(a) x – 3
(b) 1 + x + x2
(c) y – y3
(d) 5xy2 + 7x2y
(e) -ab + 2b2 -3a2
(ii) Identify terms and factors in the expressions given below :
(a) – 4x + 5
(b) – 4x + 5y
(c) 5y + 3y2
(d) xy + 2x2y2
(e) pq + q
(f) 1.2 ab -2.4 b + 3.6 a
(g)
(h) 0.1 p2 + 0.2 q2
Solution:





Question 3.
Identify the numerical coefficients of terms (other than constants) in the following expressions :
Solution:


Question 4.
(a) Identify terms which contain x and give the coefficient of x.
(b) Identify terms which contain y2 and give the coefficient of y2.
Solution:


Question 5.
Classify into monomials, binomials and trinomials.
Solution:
We know that an algebraic expression containing only one term is called a monomial. So, the monomials are : (ii), (iv), and (viii).
We know that an algebraic expression containing two terms is called a binomial. So, the binomials are : (i), (vi), (vii), (x) and (xi).
We know that an algebraic expression containing three terms is called a trinomial. So, the trinomial are : (iii), (v), (ix) and (xii).
Question 6.
State whether a given pair of terms is of like or unlike terms :
(i) 1, 100
Solution:
Like
(ii) -7x,
Solution:
Like
(iii) – 29x, – 29y
Solution:
Unlike
(iv)14xy, 42yx
Solution:
Like
(v) 4m2p, 4mp2
Answer:
Unlike
(vi) 12xz, 12x2z2
Solution:
Unlike
(i) 4y – 7z.
This expression is a binomial because it contains two terms: 4y and – Iz.
(ii) y2.
This expression is a monomial because it contains only one term: y2
(iii) x + y – xy.
This expression is a trinomial because it contains three terms: x, y, and – xy.
(iv) 100.
This expression is a monomial because it contains only one term: 100
(v) ab – a – b.
This expression is a trinomial because it contains three terms: ab, -a, and -b
(vi) 5 – 3t.
This expression is a binomial because it contains two terms : 5 and – 31.
(vii) 4p2q – 4pq2.
This expression is a binomial because it contains two terms: 4p2q and – 4pq2.
(viii) 7mn.
This expression is a monomial because it contains only one term : 7mn.
(ix) z2 – 3z + 8.
This expression is a trinomial because it contains three terms : z2, – 3z and 8.
(x) a2 + b2.
This expression is a binomial because it contains two terms: a2 and b2.
(xi) z2 + z.
This expression is a binomial because it contains two terms : z2 and z.
(xii) 1 + x + x2.
This expression is a trinomial because it contains three terms: 1, x, and x2.
Question 6.
State whether a given pair of terms is of like or unlike terms :
(i) 1, 100
Solution:
Like
(ii) -7x,
Solution:
Like
(iii) – 29x, – 29y
Solution:
Unlike
(iv)14xy, 42yx
Solution:
Like
(v) 4m2p, 4mp2
Answer:
Unlike
(vi) 12xz, 12x2z2
Solution:
Unlike
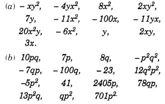
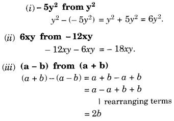
Question 7.
Identify like terms in the following :

Solution:

Question 1.
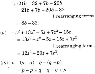
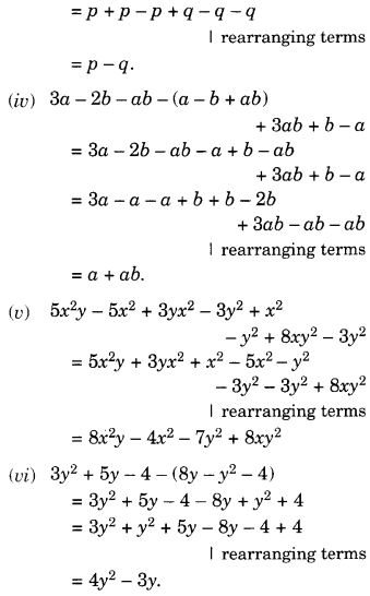
Simplify combining like terms:
Solution:


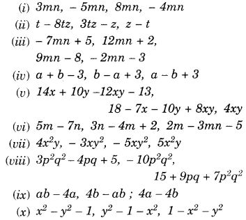
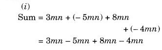
Question 2.
Add:

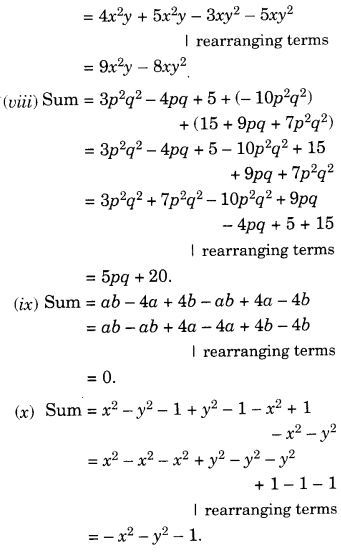
Solution:




Question 3.
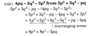
Subtract:
Solution:


Question 4.
(a) What should be added to x2 + xy + y2 to obtain 2x2 + 3xy?
(b) What should be subtracted from 2a + 8b + 10 to get -3a + 76 + 16?
Solution:


Question 5.
What should be taken away from 3x2 – 4y2 + 5xy + 20 to obtain -x2 – y2 + 6xy + 20?
Solution:

Question 6.
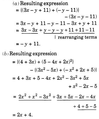
(a) From the sum of 3x – y + 11 and – y – 11, subtract 3x – y – 11.
(b) From the sum of 4 + 3x and 5 – 4x + 2x2, subtract the sum of 3x2 – 5x and -x2 + 2x + 5.
Solution:

Question 1.
If m = 2, find the value of :
Solution:


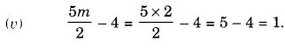
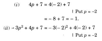
Question 2.
If p = – 2, find the value of :
Solution:


Question 3.
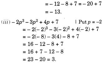
Find the value of the following expressions, when x = – 1 :
Solution:

Question 4.
If a = 2, b = – 2, find the value of :
Solution:

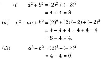
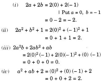
Question 5.
When a = 0, b = – 1, find the value of the given expressions :
Solution:

Question 6.
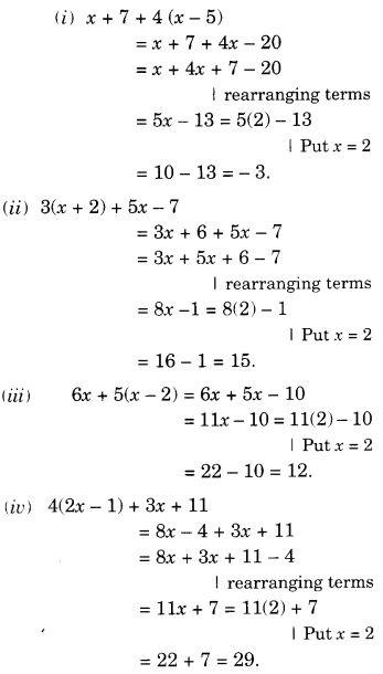
Simplify the expressions and find the value ifx is equal to 2.
Solution:

Question 7.
Simplify these expressions and find their values if x = 3, a = – 1, b = – 2.
Solution:


Question 8.
(i) If z = 10, find the value of z3 – 3(z – 10).
(ii) If p = -10, find the value of p2 – 2p – 100.
Solution:

Question 9.
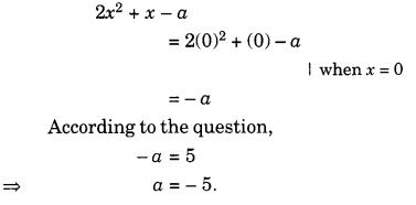
What should be the value of a if the value of 2x2 + x – a equals to 5, when x = 0 ?
Solution:

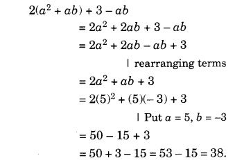
Question 10.
Simplify the expression and find its value when a = 5 and b = – 3 2(a2 + ab) + 3 – ab.
Solution:

Question 1.
Observe the patterns of digits made from line segments of equal length. You will find such segmented digits on the display of electronic watches or calculators.

If the number of digits formed is taken to be n, the number of segments required to form n digits is given by the algebraic expression appearing on the right of each pattern.
How many segments are required to form 5, 10, 100 digits of the kind
![]()
Solution:
![]()
Let the number of digits formed be n, Then, the number of segments required to form n digits is given by the algebraic expression 5n + 1.
So,
![]()
Let the number of digits formed be n. Then, the number of segments required to form n digits is given by the algebraic expression 3n + 1.
So,
![]()
Let the number of digits formed be n. Then, the number of segments required to form n digits is given by the algebraic expression 5n + 2.
So,
Question 2.
Use the given algebraic expression to complete the table of number patterns.

Solution:
