Getstudysolution is an online educational platform that allows students to access quality educational services and study materials at no cost.
What are the ways in which the sunflower and marigold are planted? 18 = ______ × ______ So there are ______ rows with ______ plants each. 18 = ______ × ______ So there are ______ rows with ______ plants each.
18 = 2 × 9 So there are 2 rows with 9 plants each.
18 = 3 × 6 So there are 3 rows with 6 plants each.
Jars in the Shelf Bheema made a shelf for 30 jars. This is a long shelf with two rows. Each row has the same number of jars. 
Can you think of other ways to make a shelf to keep 30 jars? • Draw a shelf. Show how many jars you will keep in each row. How many rows are there? Have your friends drawn it in different ways?
Yes, we can make a shelf with 3 rows to keep 30 jars. Total number of jars = 30 Number of rows = 3 Number of jars in each row = 30 ÷ 3 = 10 There are 10 jars in each row of the shelf.

Disclaimer: The answer may vary from student to student. The answer provided here is for reference only.
Help Bunty to make the table of 7, using tables of 4 and 3.

.png)
Which two tables will you use for writing the table of 12?
We will use the tables of 5 and 7 for writing the table of 12.
.png)
.png)
.png)
| How many legs? | 4 | 8 | 12 | |||||
| How many cats? | 1 | 2 |
So 28 legs mean __________ cats.
Number of legs of 1 cat = 1 × 4 = 4 Number of legs of 2 cats = 2 × 4 = 8 Number of legs of 3 cats = 3 × 4 = 12 Continuing in the same manner, we can easily fill the given table.
| How many legs? | 4 | 8 | 12 | 16 | 20 | 24 | 28 | 32 |
| How many cats? | 1 | 2 | 3 | 4 | 5 | 6 | 7 | 8 |
From the table, we can see that 7 cats have 28 legs.
Billo has kept his chickens in a box. He counted 28 legs. How many chickens are there?
We know that a chicken has 2 legs. Total number of legs of the chickens counted by Billo = 28 Number of chickens kept in the box = 28 ÷ 2 = 14 Thus, there were 14 chickens in the box.
Leela has not gone to school for 21 days. For how many weeks was she away from school?
Number of days in one week = 7 Leela has not gone to school for 21 days. Number of week in 7 days = 1 Number of weeks in 21 days = 21 ÷ 7 = 3
Working: 
Thus, Leela was away from school for 3 weeks.
A frog jumps 3 steps at a time starting from 0. • Count the jumps he takes to reach 27. So, he has taken 27 ÷ 3 = _______ jumps.
.png)
• He has taken _________ jumps, if he is at 36. • If he is at 42, he has taken _________ jumps. Starting from 0, a rabbit jumps 5 steps at a time. • In how many jumps does he reach 25? ____________ • He reaches ____________ after taking 8 jumps. • He needs ____________ jumps to reach 55.
Number of jumps taken by the frog to cover 27 steps = 27 ÷ 3 = 9 So, he has taken 27 ÷ 3 = 9 jumps.
Number of jumps taken by the frog to cover 36 steps = 36 ÷ 3 = 12 He has taken 12 jumps, if he is at 36.
Number of jumps taken by the frog to cover 42 steps = 42 ÷ 3 = 14 If he is at 42, he has taken 14 jumps.
Number of jumps taken by the frog to cover 25 steps = 25 ÷ 5 = 5 Thus, the rabbit will reach 25 in 5 jumps.
Number of steps covered in 8 jumps = 5 × 8 = 40 He reaches 40 after taking 8 jumps.
Number of jumps taken by the frog to cover 55 steps = 55 ÷ 5 = 11 He needs 11 jumps to reach 55.
Practice Time (1) 28 ÷ 2 = (2) 56 ÷ 7 = (3) 48 ÷ 4 = (4) 66 ÷ 6 = (5) 96 ÷ 8 = (6) 110 ÷ 10 =
(1) .png)
(2)
.png)
(3)
.png)
(4)
.png)
(5)
.png)
(6)
.png)
He took 28 shells for one necklace. 112 − 28 = 84 Now he was left with 84 shells. Again he took 28 more shells for the second necklace. • How many shells are left now? __________ Then he took shells for the third necklace. • So he was left with ___________ shells. • How many necklaces can Dhruv make from 112 shells? _________ • Are the shells enough for making necklaces for all his friends? ___________
Number of shells used for the second necklace = 28 Number of shells left with Dhruv = 84 − 28 = 56
Working: 84-2856Thus, Dhruv was left with 56 shells after making the second necklace.
Number of shells left with Dhruv after making third necklace = 56 − 28 = 28
After making the necklaces for his friends, he was left with 28 shells. So, he could make one more necklace with the remaining shells. Thus, Dhruv could make a total of 4 necklaces with 112 shells.
Kannu made a necklace of 17 sea-shells. How many such necklaces can be made using 100 sea-shells?
Kannu used 17 sea shells to make a necklace. Number of sea shells used in 1 necklace = 1 ×17 = 17 Number of sea shells used in 2 necklaces = 2 × 17 = 34 Similarly, the number of sea shells used in 6 necklaces = 6 × 17 = 102 So, 102 sea shells are required to make 6 necklaces. Total number of sea shells available for making necklaces = 100 Thus, Kannu can make 5 necklaces by using 100 sea shells.
One carton can hold 85 soap bars. Shally wants to pack 338 soap bars. How many cartons does she need for packing all of them?
Number of soap bars that can be packed in 1 carton = 85 Number of soap bars that can be packed in 2 cartons = 2 × 85 = 170 Number of soap bars that can be packed in 3 cartons = 3 × 85 = 255 Number of soap bars that can be packed in 4 cartons = 4 × 85 = 340 If we take 3 cartons, then we can pack only 255 soap bars. Thus, Shally will need 4 cartons to pack 338 soap bars.
Manpreet wants 1500 sacks of cement for making a house. A truck carries 250 sacks at a time. How many trips will the truck make?
A driver charges Rs 500 for a trip. How much will Manpreet pay the driver for all the trips?
Total number of sacks of cement needed by Manpreet for making a house = 1500 Number of sacks carried by the truck in 1 trip = 250 Number of sacks carried by the truck in 2 trips = 250 × 2 = 500 Number of sacks carried by the truck in 3 trips = 250 × 3 = 750 Number of sacks carried by the truck in 4 trips = 250 × 4 = 1000 Number of sacks carried by the truck in 5 trips = 250 × 5 = 1250 Number of sacks carried by the truck in 6 trips = 250 × 6 = 1500 ∴ Number of trips made by the truck to carry 1500 sacks = 1500 ÷ 250 = 6 Thus, the truck will make 6 trips to carry 1500 sacks of cement.
Amount charged by the driver for one trip = Rs 500 Number of trips made by the truck = 6 ∴ Total amount charged by the driver for 6 trips = Rs 500 × 6 = Rs 3000 Thus, Manpreet will pay Rs 3000 to the driver for all the trips.
Gangu’s Sweets Gangu is making sweets for Id. He has made a tray of 80 laddoos.

• Are the sweets in the tray enough to pack 23 small boxes? ___________ • How many more sweets are needed? ___________ • Gangu also has a bigger box in which he packs 12 laddoos. How many boxes does he need for packing 60 laddoos?
• Total number of laddoos = 80
Number of laddoos in one box = 4 Now Rabiya needs 23 small boxes of laddoos. Number of laddoos in 23 boxes = 4 × 23 = 92 There are only 80 sweets in the tray, which are not enough to pack 23 small boxes.
• Number of sweets now required = 92 − 80 = 12 Thus, 12 more sweets are needed to pack 23 small boxes.
• Number of laddoos Gangu packs in one box = 12 Total laddoos to be packed = 60 Number of boxes required = 60
÷12 = 5 Thus, Gangu needs 5 boxes to pack 60 laddoos.
Practice Time Neelu brought 15 storybooks to her class. Today 45 students are present. How many children will need to share one book?
Total number of students present in the class = 45 Number of books brought by Neelu to the class = 15 Number of children sharing one book = 45 ÷ 15 = 3 So, three children will share one book.
Practice Time A family of 8 people needs 60 kg wheat for a month. How much wheat does this family need for a week?
Quantity of wheat required by a family in one month = 60 kg
We know that there are 4 weeks in a month.
Quantity of wheat required by the family in one week = 60 ÷ 4 kg
= 15 kg
Working:
Thus, the family needs 15 kg of wheat in one week.
Practice Time Razia wants change for Rs 500. .png)
How many notes will she get if she wants in return —
(a) All 100 rupee notes? __________________ (1).png)
(b) All 50 rupee notes? __________________ .png)
(c) All 20 rupee notes? __________________ .png)
(d) All 5 rupee notes? ___________________ .png)
(a) Total money with Razia = Rs 500 Razia wants a change for Rs 500 in the form of 100 rupee notes. Number of 100 rupee notes that Razia will get = 500 ÷ 100 = 5 (b) Total money with Razia = Rs 500 Razia wants a change for Rs 500 in the form of 50 rupee notes. Number of 50 rupee notes that Razia will get = 500 ÷ 50 = 10 (c) Total money with Razia = Rs 500 Razia wants a change for Rs 500 in the form of 20 rupee notes. Number of 20 rupee notes that Razia will get = 500 ÷ 20 = 25 (d) Total money with Razia = Rs 500 Razia wants a change for Rs 500 in the form of 5 rupee notes. Number of 5 rupee notes that Razia will get = 500 ÷ 5 = 100
Practice Time You have to distribute 72 tomatoes equally in 3 baskets. How many tomatoes will there be in each?
Total number of tomatoes to be distributed in the baskets = 72
Number of baskets = 3
It is given that the number of tomatoes in each basket is the same.
Number of tomatoes in each basket = 72 ÷ 3
= 24
Working:
Thus, each basket contains 24 tomatoes.
Practice Time There are 350 bricks in a hand-cart. Binod found the weight of a brick to be 2 kg. What will be the weight of all the bricks?
Weight of 1 brick = 2 kg Weight of 350 bricks = 2 × 350 kg = 700 kg
Thus, the total weight of all the bricks in the hand-cart is 700 kg.
Try Doing These (a)
565(b) 84 ÷ 2
(c)
369(d) 90 ÷ 6
(e)
472(f)
9108(g) 232 ÷ 2
(h)
2428
(a) .png)
(b) .png)
(c) .png)
(d) .png)
(e) .png)
(f) .png)
(g) .png)
(h) .png)
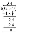
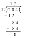
Meera made 204 candles to sell in the market. She makes packets of 6. How many packets will she make? If she packs them in packets of 12, then how many packets will she make?
Total number of candles to be sold in the market = 204 Meera makes packets of 6. Number of candles in one packet = 6 Number of packets of candles made by Meera = 204 ÷ 6 = 34
Working: 
Thus, Meera will make 34 packets of candles.
Now, Meera makes packets of 12.
Number of candles in one packet = 12
Number of packets made by Meera = 204 ÷ 12
= 17
Working: 
Thus, if Meera packs the candles in packets of 12, she will make 17 packets.
On Sports Day, 161 children are in the school playground. They are standing in 7 equal rows. How many children are there in each row?
Total number of students in the playground = 161
Total number of rows of students = 7
It is given that the number of students in each row is equal.
Number of students in each row = 161 ÷ 7
= 23
Working:
Thus, there are 23 students in each row.

There are 8 packets of rakhis. Each packet has 6 rakhis in it. Your question:
My question: How many rakhis are there in total?

There are 10 packets of sugar. Saurabh paid 110 rupees for all the packets. Your question:
My question: What is the cost of 1 packet of sugar?

There are 35 students in 7 rows. Each row has the same number of students. Your question:
My question: How many students are there in each row?
Hari, Seema, Chinku and Lakshmi are going to Guwahati. The cost of one rail ticket is Rs 62.

Your question:
My question: What is the total cost of the rail tickets?
One metre of cloth costs Rs 20. Lalbiak bought some cloth and paid Rs 140.
.png)
Your question:
My question: How many metres of cloth did Lalbiak buy?