Getstudysolution is an online educational platform that allows students to access quality educational services and study materials at no cost.
Question 1.
Find the perimeter of each of the following figures:



Solution :
(a) Perimeter
= 5 cm + I cm + 2 cm + 4 cm
= 12 cm
(b) Perimeter
= 40 cm + 35 cm + 23 cm + 35 cm
= 133 cm
(c) Perimeter
= 15 cm + 15 cm + 15 cm+ 15 cm
= 60 cm
(d) Perimeter
= 4 cm + 4 cm + 4 cm + 4 cm + 4 cm
= 20 cm
(e) Perimeter
= 1 cm + 4 cm + 0.5 cm + 2.5 cm + 2.5 cm + 0.5 cm + 4 cm
= 15 cm
(f) Perimeter = 1 cm + 3 cm + 2 cm + 3 cm + 4 cm + 1 cm + 3 cm + 2 cm + 3 cm + 4 cm + 1 cm + 3 cm + 2 cm + 3 cm + 4 cm + 1 cm + 3 cm + 2 cm + 3 cm + 4 cm
= 52 cm
Question 2.
The lid of a rectangular box of sides 40 cm by 10 cm is sealed all around with tape. What is the length of the tape required?
Solution :
Length of the tape required
= Perimeter of the rectangular box = 2 × (Length + Breadth)
= 2 × (40 cm + 10 cm)
= 2 × (50 cm)
= 100 cm = l m.
Question 3.
A table-top measures 2 m 25 cm by l m 50 cm. What is the perimeter of the table-top?
Solution :
Perimeter of the table-top
= 2 × (Length + Breadth)
= 2 × (2 m 25 cm + 1 m 50 cm)
= 2 × (2.25 m+1.50 m)
= 2 × (3.75 m)
= 7.5 m
Question 4.
What is the length of the wooden strip required to frame a photograph of length and breadth 32 cm and 21 cm respectively?
Solution :
Length of the wooden strip required = 2 × (Length + Breadth)
= 2 × (32 cm + 21 cm)
= 2 × (53 cm)
= 106 cm = 1.06 m.
Question 5.
A rectangular piece of land measures 0.7 km by 0.5 km. Each side is to be fenced with 4 rows of wires. What is the length of the wire needed?
Solution :
Perimeter of the rectangle
= 2 × (Length + Breadth )
= 2 × (0.7 km + 0.5 km)
= 2 × (1.2km)
= 2.4 km
Length of the wire needed
= 4 × Perimeter of the rectangle = 4 × (2.4 km)
= 9.6 km.
Question 6.
Find the perimeter of each of the following shapes:
(a) A triangle of sides 3 cm, 4 cm, and 5 cm
(b) An equilateral triangle of side 9 cm
(c) An isosceles triangle with equal sides 8 cm each a mi third side 6 cm.
Solution :
(a) Perimeter of the triangle = 3 cm + 4 cm + 5 cm = 12 cm
(b) Perimeter of the equilateral triangle = 3 × Length of a side = 3 × (9 cm) = 27 cm
(c) Perimeter of the isosceles triangle = 8 cm + 8 cm + 6 cm = 22 cm.
Question 7.
Find the perimeter of a triangle with sides measuring 10 cm, 14 cm, and 15 cm.
Solution :
Perimeter of the triangle
= Sum of the lengths of its three sides
= 10 cm + 14 cm + 15 cm
= 39 cm.
Question 8.
Find the perimeter of a regular hexagon with each side measuring 8 m.
Solution :
Perimeter of the regular hexagon
= 6 × Length of a side
= 6 × (8m)
= 48 m.
Question 9.
Find the side of the square whose perimeter is 20 m.
Solution :
Perimeter of the square
= 4 × Length of a side
⇒ Length of one side

Question 10.
The perimeter of a regular pentagon is 100 cm. How long is its every side?
Solution :
Perimeter of the regular pentagon = 5 × Length of a side
⇒ Length of one (each) side

Question 11.
A piece of string is 30 cm long. What will be the length of each side if the string is used to form:
(a) a square?
(b) an equilateral triangle?
(c) a regular hexagon?
Solution :
(a) Perimeter of the square = 4 × Length of a side
⇒ Length of a side

(b) Perimeter of the equilateral triangle
= 3 × Length of a side
⇒ Length of a side

(c) Perimeter of the regular hexagon = 6 × Length of a side.
⇒ Length of a side

Question 12.
Two sides of a triangle are 12 cm and 14 cm. The perimeter of the triangle is 36 cm. What is the third side?
Solution :
Perimeter of a triangle = Sum of the lengths of its three sides
⇒ 36 cm = 12 cm + 14 cm + Length of the third side
⇒ 36 cm = 26 cm + Length of the third side
⇒ Length of the third side = 36 cm – 26 cm = 10 cm.
Question 13.
Find the cost of fencing a square park of side 250 m at the rate of ₹ 20 per meter.
Solution :
Perimeter of the square park = 4 × Length of a side = 4 × (250m)
= 1000 m
∴ Cost of fencing the square park at the rate of?
20 per metre = ₹ 1000 × 20
= ₹ 20,000
Question 14.
Find the cost of fencing a rectangular park of length 175 m and breadth 125 m at the rate of? 12 per meter.
Solution :
Perimeter of the rectangular park = 2 × (Length + Breadth)
= 2 × (175m + 125 m)
= 2 × (300 m)
= 600 m
Cost of fencing the rectangular park at the rate of ?
12 per metre = ₹ 600 × 12
= ₹ 7200.
Question 15.
Sweety runs around a square park of side 75 m. Bulbul runs around a rectangular park with length 60 m and breadth 45 m. Who covers less distance?
Solution :
Perimeter of the square park = 4 × Length of a side = 4 × (75 m)
= 300 m
Perimeter of the rectangular park
= 2 × (Length + Breadth)
= 2 × (60 m + 45 m)
= 2 × (105 m)
= 210 m.
Since, the perimeter of the rectangular park is less than the perimeter of the square park, therefore. Bulbul covers less distance.
Question 16.
What is the perimeter of each of the following figures? What do you infer from the answers?


Solution :
(a) Perimeter
= Sum of the lengths of all the sides
= 25 cm + 25 cm + 25 cm + 25 cm
= 100 cm.
(b) Perimeter
= Sum of the lengths of all the sides
= 40 cm + 10 cm + 40 cm + 10 cm
= 100 cm.
(c) Perimeter
= Sum of the lengths of all the sides
= 30 cm + 20 cm + 30 cm + 20 cm
= 100 cm.
(d) Perimeter
= Sum of the lengths of all the sides
= 30 cm + 40 cm + 30 cm
= 100 cm.
The inference from the answers. All the figures have the same perimeter.
Question 17.
Avneet buys 9 square paving slabs, each with a side of

(a) What is the perimeter of his arrangement (Fig. i)?
(b) Shari does not like his arrangement. She gets him to lay them out like a cross. What is the perimeter of her arrangement (Fig. ii)?
(c) Which has a greater perimeter?
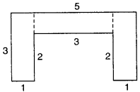
(d) Avneet wonders if there is a way of getting an even greater perimeter. Can you find a way of doing this? (The paving slabs must meet along complete edges i.e. they cannot be broken.)
Solution :
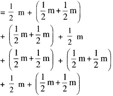
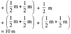
(a) Perimeter of his arrangement = 4 × Length of one side

(b) Perimeter of her arrangement = Sum of the lengths of all the sides


(c) Cross has greater perimeter.
(d) Yes ! there is a way of getting an even greater perimeter. It is shown below:

Question 1.
Find the areas of the following figures:

Solution :
(a)
| Cover | Number estimate | Area | |
| (i) | Full-filled squares | 9 | 9 squares |
| (ii) | Half-filed squares | – | – |
| (iii) | More than half-filed squares | – | – |
| (iv) | Less than half-filed squares | – | – |
∴ Total area of the figure = 9 sq units
(b)
| Cover | Number estimate | Area | |
| (i) | Full-filled squares | 5 | 5 squares |
| (ii) | Half-filed squares | – | – |
| (iii) | More than half-filed squares | – | – |
| (iv) | Less than half-filed squares | – | – |
∴ Total area of the figure = 9 sq units
(c) Full-filled squares = 2
Half-filled squares = 4
Area covered by full squares
= 2 × 1 sq unit = 2 sq units
Area covered by half squares = 4 ×
∴ Total area = 2 sq units + 2 sq units = 4 sq units.
(d) Full-filled squares = 8
Total area = Area covered by full squares = 8 × 1 sq unit = 8 sq units.
(e) Full-filled squares =10
∴ Total area = Area covered by full squares = 10 × 1 sq unit = 10 sq units.
(f) Full-filled squares = 2 Half-filled squares = 4 Area covered by full squares
= 2 × 1 sq unit = 2 sq units Area covered by half squares
= 4 ×
Total area = 2 sq units + 2 sq units = 4 sq units.
(g) Full-filled squares = 4 Half-filled squares = 4 Area covered by full squares
= 4 × 1 sq unit = 4 sq units Area covered by half squares
= 4 ×
∴ Total area = 4 sq units + 2 sq units.
= 6 sq units
(h) Full-filled squares = 5
∴ Total area = Area covered by full squares = 5 × 1 sq unit = 5 sq units.
(i) Full-filled squares = 9
∴ Total area = Area covered by full squares = 9 × 1 sq unit = 9 sq units.
(j) Full-filled squares = 2 Half-filled squares = 4 Area covered by full squares
= 2 × 1 sq unit = 2 sq units Area covered by half squares
= 4 ×
∴ Total area = 2 sq units + 2 sq units = 4 sq units.
(k) Full-filled squares = 4 Half-filled squares = 2 Area covered by full squares
= 4 × 1 sq unit = 4 sq units Area covered by half squares
= 2 ×
∴ Total area = 4 sq units + 1 sq unit = 5 sq units.
(l)
| Cover | Number estimate | Area | |
| (i) | Full-filled squares | 4 | 4 × 1 sq unit = 4 sq units |
| (ii) | Half-filed squares | 2 | 2 × |
| (iii) | More than half-filed squares | 3 | 3 × 1 sq unit = 3 sq units |
| (iv) | Less than half-filed squares | 4 | – |
(m)
| Cover | Number estimate | Area | |
| (i) | Full-filled squares | 9 | 9 × 1 sq unit = 9 sq units |
| (ii) | Half-filed squares | 2 | 2 × |
| (iii) | More than half-filed squares | 6 | 6 × 1 sq unit = 6 sq units |
| (iv) | Less than half-filed squares | 4 | – |
∴ Total Area = 9 sq units + 1 sq. unit + 6 sq units = 16 sq units
(n)
| Cover | Number estimate | Area | |
| (i) | Full-filled squares | 11 | 11 × 1 sq unit = 11 sq units |
| (ii) | Half-filed squares | 6 | 6 × |
| (iii) | More than half-filed squares | 9 | 9 × 1 sq unit = 9 sq units |
| (iv) | Less than half-filed squares | – | – |
∴ Total area = 11 sq units + 3 sq units + 9 sq units = 23 sq units.
Question 1.
Find the areas of the rectangles whose sides are:
(a) 3 cm and 4 cm
(b) 12 m and 21m
(c) 2 km and 3 km
(d) 2 m and 70 cm.
Solution :
(a) Area of the rectangle
= Length × Breadth = 3 × 4 sq cm = 12 sq cm
(b) Area of the rectangle = Length × Breadth
= 12 m × 21 m = 252 sq m
(c) Area of the rectangle = Length × Breadth
= 2 km × 3 km = 6 sq km
(d) 2 m = 2 × 100 cm = 200 cm
Area of the rectangle = Length × Breadth
= 200 × 70 sq cm
14000 sq cm.
Question 2.
Find the areas of the squares whose sides are:
(a) 10 cm
(b) 14 cm
(c) 5 m.
Solution :
(a) Area of the square = Side × Side
= 10 cm × 10 cm – 100 sq cm
(b) Area of the square = Side × Side
= 14 cm × 14 cm = 196 sq cm
(c) Area of the square = Side × Side
= 5 m × 5 m = 25 sq m.
Question 3.
The length and breadth of three rectangles are as given below:
(a) 9 m and 6 m
(b) 3 m and 17 m
(c) 4 m and 14 m.
Which one has the largest area and which one has the smallest?
Solution :
(a) Area of the rectangle = Length × Breadth = 9 m × 6 m = 54 sq m
(b) Length of the rectangle = Length × Breadth = 3 m × 17 m = 51 sq m
(c) Length of the rectangle = Length × Breadth = 4m × 14m = 56 sq m
The rectangle (c) has the largest area and the rectangle (b) has the smallest area.
Question 4.
The area of a rectangular garden 50 m long is 300 sq. m. Find the width of the garden.
Solution :
Area of the rectangular garden = 300 sq m Length of the rectangular garden = 50 m
∴ Width of the rectangular garden

Question 5.
What is the cost of tiling a rectangular piece of land 500 m long and 200 m wide at the rate of ₹ 8 per hundred sq m.
Solution :
Length of the rectangular piece of land
500 m
Breadth of the rectangular piece of land
200 m
∴ Area of the rectangular piece of land
= Length × Breadth
= 500 m × 200 m
= 100000 sq m
Cost of tiling 100 sq m = ₹
Cost of tiling 100000 sq m
= ₹
= ₹ 8000.
Question 6.
A table-top measures 2 m by 1 m 50 cm. What is its area in square meters?
Solution :
Length of the table-top = 2 m Breadth of the table-top = 1 m 50 cm = 1.50 m
∴ Area of the table-top
= Length × Breadth = 2 m × 1.50 m
= 3.0 sq m.
Question 7.
A room is 4 m long and 3 m 50 cm wide. How many square meters of carpet is needed to cover the floor of the room?
Solution :
Length of the room = 4 m Breadth of the room = 3 m 50 cm = 3.50 m
∴ Area of the room = Length × Breadth
= 4 × 3.5 sq. m
= 14.0 sq m
Hence, 14.0 square meters of carpet is needed to cover the floor of the room.
Question 8.
A floor is 5 m long and 4 m wide. A square carpet of sides 3 m is laid on the floor. Find the area of the floor that is not carpeted.
Solution :
Length of the floor = 5 m Breadth of the floor = 4 m
∴ Area of the floor = Length × Breadth
= 5m × 4m = 20sqm Area of the square carpet = Side × Side
= 3m × 3m = 9sqm
∴ Area of the floor that is not carpeted = 20 sq m – 9 sq m = 11sq m.
Question 9.
Five square flower beds each of sides 1 m are dug on a piece of land 5 m long and 4 m wide. What is the area of the remaining part of land?
Solution :
Area of square flower bed
= Side × Side = 1 m × 1 m
= 1 sq m
∴ Area of 5 square flower beds
= 5 × 1 sq m = 5 sq m
Length of the piece of land = 5 m
Breadth of the piece of land = 4 m
∴ Area of the piece of land
= Length × Breadth = 5 m × 4 m
= 20 sq m
∴ Area of the remaining part of the land
= 20 sq m – 5 sq m
= 15 sqm.
Question 10.
By splitting the following figures into rectangles, find their areas (The measures are given in centimeters).

Solution :
(a) Area of the figure
= (3 × 3 + 1 × 2 + 3 × 3 + 4 × 2) sqcm
= (9 + 2 + 9 + 8) sq cm = 28 sq cm

(b) Area of the figure
= (3 × 1 + 3 × 1 + 3 × 1) sqm
= (3 + 3 + 3) sq m
= 9 sqm

Question 11.
Split the following shapes into rectangles and find the area of each (The measures are given in centimeters).

Solution :
(a) Area of the shape
= (8 × 2 + 12 × 2) sq cm = (16 + 24) sq cm = 40 sq cm
(b) Area of the shape
= (17 × 7 + 7 × 7 + 7 × 7 + 7 × 7 + 7 × 7) sq cm
= (49 + 49 + 49 + 49 + 49) sq cm
= 245 sq cm
(c) Area of the shape = ( 5 × 1 + 4 × 1) sq cm
= (5 + 4) sq cm
= 9 sq cm.
Question 12.
How many tiles whose length and breadth are 12 cm and 5 cm respectively will be needed to fit in a rectangular region whose length and breadth are respectively :
(a) 100 cm and 144 cm?
(b) 70 cm and 36 cm?
Solution :
(a) Length of the region = 100 cm Breadth of the region = 144 cm
∴ Area of the region = Length × Breadth
= 100 cm × 144 cm
= 14400 sq cm
Length of a tile = 12 cm Breadth of a tile = 5 cm
∴ Area of a tile = Length × Breadth = 12 × 5 sq cm
= 60 sq cm
∴ Number of tiles needed to fit the region

(a) Length of the region = 70 cm Breadth of the region = 36 cm
∴ Area of the rectangular region = 70 × 36 sq cm
= 2520 sq cm Area of a tile = 60 sq cm
∴ Number of tiles needed to fit the region
![]()
A challenge!
On a centimeter squared paper, make as many rectangles as you can such that the area of the rectangle is 16 sq cm (consider only whole number lengths).
(a) Which rectangle has the greatest perimeter?
(b) Which rectangle has the least perimeter? If you take a rectangle of area 24 sq. cm., what
will be your answers?
Given any area, is it possible to predict the shape of the rectangle with the greatest perimeter? With the least perimeter? Give example and reason.
Solution :
Three rectangles can be made as follows:
(i) Sides 16 cm and 1 cm. Perimeter
= 2 × (Length + Breadth)
= 2 × (16 + 1) cm = 34 cm
(ii) Sides 8 cm and 2 cm. Perimeter
= 2 × (Length + Breadth)
= 2 × (8 + 2) cm = 20 cm
(iii) Sides 4 cm and 4 cm. Perimeter
= 2 × (Length + Breadth)
= 2 (4 + 4) cm = 16 cm
(a) The rectangle (i) has the greatest perimeter.
(b) The rectangle (iii) has the least perimeter.
For Area 24 sq. cm, four rectangles can be made as follows :
(i) Sides 24 cm and 1 cm. Perimeter
= 2 × (24 + 1)cm = 50 cm [Greatest perimeter]
(ii) Sides 12 cm and 2 cm. Perimeter
= 2 × (12 + 2) cm = 28 cm
(iii) Sides 8 cm and 3 cm. Perimeter
= 2 × (8 + 3) cm = 22 cm
(iv) Sides 6 cm and 4 cm. Perimeter
= 2 × (6 + 4) cm = 20 cm [Least perimeter]
Yes ! it is possible to predict the shape of the rectangle with (i) the greatest perimeter (iv) the least perimeter for any given area.
Reason: The rectangle with the greatest length has the maximum perimeter and the rectangle with the smallest length has the least perimeter, for a given area of the rectangle.