GetStudySolution


Getstudysolution is an online educational platform that allows students to access quality educational services and study materials at no cost.


NCERT Solutions for class 10 Science chapter 10 – Light – Reflection and Refraction


Back Exercise

Question 1.
Which one of the following materials cannot be tised to make a lens 1
(a) water
(b) glass
(c) plastic
(d) clay.
Answer:
(d) clay. This is because clay is opaque (i.e. light cannot pass through it).

Question 2.
The image formed by a concave mirror is observed to be virtual, erect and larger than the object. Where should be the position of the object ?
(a) between the principal focus and the centre of curvature
(b) at the centre of curvature
(c) beyond the centre of curvature
(d) between the pole of the mirror and its principal focus.
Answer:
(d) between the pole of the mirror and its principal focus.

Question 3.
Where should an object be placed in front of a convex lens to get a real image of the size of the object ? (Bihar Board 2012)
(a) at the principal focus of the lens
(b) at twice the focal length
(c) at infinity
(d) between the optical centre of the lens and its principal focus.
Answer:
(b) at twice the focal length.

Question 4.
A spherical mirror and a thin spherical lens have each a focal length of — 15 cm. The mirror and the lens are likely to be
(a) both are concave
(b) both are convex
(c) the mirror is concave and the lens is convex
(d) the mirror is convex but the lens is concave.
Answer:
(a) both are concave.

Question 5.
No matter how far you stand from a mirror, your image appears erect. The mirror is likely to be
(a) plane only
(b) concave only
(c) convex only
(d) either plane or convex.
Answer:
(d) either plane or convex.

Question 6.
Which of the following lenses would you prefer to use while reading small letters found in a dictionary ?
(a) a convex lens of focal length 50 cm
(b) a concave lens of focal length 50 cm
(c) a convex lens of focal length 5 cm
(d) a concave lens of focal length 5 cm.
Answer:
(c) a convex lens of focal length 5 cm.

Question 7.
We wish to obtain an erect image of an object, using a concave mirror of focal length 15 cm. What should be the range of distance of the object from the mirror ? What is the nature of the image ? Is the image larger or smaller than the object ? Draw a ray diagram to show the image formation in this case.
Answer:
A concave mirror produces an erect image if the object is placed between the pole and the focus of the concave mirror. Thus, object may be placed at any position whose distance is less than 15 cm from the concave mirror. The image is virtual and erect. The image is larger than the object.

Question 8.
Name the type of mirror used in the following situations :
(a) head lights of a car
(b) side rear view mirror of a vehicle
(c) solar furnace.
Support your answer with reason. (CBSE 2012, 2013)
Answer:
(a) Concave mirror. When a bulb is placed at the focus of a concave mirror, then the beam of light from the bulb after reflection from the concave mirror goes as a parallel beam which lights up the front road.
(b) Convex mirror. Image formed by a convex mirror is erect and small in size. The field of view behind the vehicle is large.
(c) Concave mirror. Concave mirror focuses rays of light coming from the sun at its focus. So, the temperature at the focus is raised.

Question 9.
One-half of a convex lens is covered with a black paper. Will this lens produce a complete image of the object ? Verify your answer experimentally. Explain your observations.
(CBSE 2015)
Answer:
Yes, it will produce a complete image of the object, as shown in the figure. This can be verified experimentally by observing the image of a distant object like a tree on a screen when the lower half of the lens is covered with a black paper. However, the intensity or brightness of the image will reduce.
A complete image of the object is formed as shown in figure.
NCERT Solutions for Class 10 Science Chapter 10 Light Reflection and Refraction 5

Question 10.
An object 5 cm in length is held 25 cm away from a converging lens of focal length 10 cm. Draw the ray diagram and find the position, size and the nature of the image formed.
Image is real and inverted.
Answer:
NCERT Solutions for Class 10 Science Chapter 10 Light Reflection and Refraction 6
Here, u = -25 m, f = 10 m
NCERT Solutions for Class 10 Science Chapter 10 Light Reflection and Refraction 7

Question 11.
A concave lens of focal length 15 cm forms an image 10 cm from the lens. Hou> far is the object placed from the lens ? Draw the ray diagram.
Answer:
vedantu class 10 science Chapter 10 Light Reflection and Refraction 8

Question 12.
An object is placed at a distance of 10 cm from a convex mirror of focal length 15 cm. Find the position and nature of the image. (CBSE 2014)
Answer:
NCERT Solutions for Class 10 Science Chapter 10 Light Reflection and Refraction 9
Since, m is positive, so the orientation of both object and image is same. Thus,image is erect and virtual.

Question 13.
The magnification produced by a plane mirror is +1. What does this mean ? (CBSE 2011, 2014)
Answer:
NCERT Solutions for Class 10 Science Chapter 10 Light Reflection and Refraction 10
It means, size of the image formed by plane mirror is equal to the size of the object. Positive sign with m tells that both object and image are erect.

Question 14.
An object 5.0 cm in length is placed at a distance of 20 cm in front of a convex mirror of radius of curvature 30 cm. Find the position of the image, its nature and size. (Similar CBSE 2011)
Answer:
h = 5 cm, u = -20 cm
NCERT Solutions for Class 10 Science Chapter 10 Light Reflection and Refraction 11
NCERT Solutions for Class 10 Science Chapter 10 Light Reflection and Refraction 12
Since h’ is positive, so image is erect and virtual.

Question 15.
An object of size 7.0 cm is placed at 27 cm in front of a concave mirror of focal length 18 cm. At what distance from the mirror should a screen be placed, so that a sharp focussed image can be obtained ? Find the size and the nature of the image.
Answer:
NCERT Solutions for Class 10 Science Chapter 10 Light Reflection and Refraction 13
Since h’ is negative, so image is inverted.

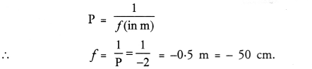
Question 16.
Find the focal length of a lens of power -2.0 D. What type of lens is this ?
Answer:
vedantu class 10 science Chapter 10 Light Reflection and Refraction 14
The lens is concave.

Question 17.
A doctor has prescribed a corrective lens of power +1.5 D. Find the focal length of the lens. Is the prescribed lens diverging or converging ? (CBSE 2012)
Answer:
NCERT Solutions for Class 10 Science Chapter 10 Light Reflection and Refraction 15
Since focal length is positive, so the lens is converging.

In-Text Questions

Question 1.
Define the principal focus of a concave mirror.
Answer:
Light rays that are parallel to the principal axis of a concave mirror converge at a specific point on its principal axis after reflecting from the mirror. This point is called the principal focus of the concave mirror.

Question 2.
The radius of curvature of a spherical mirror is 20 cm. What is focal length ? (Bihar Board 2012)
Answer:
Radius of curvature, R= 20 cm.
NCERT Solutions for Class 10 Science Chapter 10 Light Reflection and Refraction 1

Question 3.
Name a mirror that can give an erect and magnified image of an object.
Answer:
A concave mirror.

Question 4.
Why do we prefer a convex mirror as a rear-view mirror in vehicles ?
[CBSE (All India) 2007, 2011, 2012]
Answer:
Convex mirror is preferred as a rear-view mirror in cars and vehicles as it gives a wider field of view, which helps the driver to see most of the traffic behind him. Convex mirrors always form an erect, virtual, and diminished image of the objects placed in front of it.

Question 5.
Find the focal length of a convex mirror whose radius of curvature is 32 cm.
Answer:
R = +32 cm. Therefore, f = R/2 = +32/2 = +16 cm.
Thus, focal length of the convex mirror = +16 cm.

Question 6.
A concave mirror produces three times magnified (enlarged) real image of an object placed at 10 cm in front of it. Where is the image located ?
Answer:
m = -3,
But m = -v/u, so v = 3u
u = -10 cm
v = 3 (-10 cm) =-30 cm
Thus, the image is located at a distance of 30 cm to the left side of the concave mirror.

Question 7.
A ray of light travelling in air enters obliquely into water. Does the light ray bend towards the normal or away from the normal ? Why ?
Answer:
The ray of light bends towards the normal because the speed of light decreases when it goes from air (rarer medium) into water (denser medium).

Question 8.
Light enters from air to glass having refractive index 1.50. What is the speed of light in the glass ? The speed of light in vacuum is 3 x 108 m s-1 (CBSE 2011)
Answer:
NCERT Solutions for Class 10 Science Chapter 10 Light Reflection and Refraction 2

Question 9.
Find out, from Table, the medium having highest optical density. Also find the medium with lowest optical density.
Answer:

Lowest optical density = Air

Highest optical density = Diamond

The optical density of a medium is directly related to its refractive index. A medium with the highest refractive index will have the highest optical density and vice-versa.

It can be observed from the table that air and diamond respectively have the lowest and highest refractive index. Hence, air has the lowest optical density and diamond has the highest optical density.

Question 10.
You are given kerosene, turpentine and water. In which of these does the light travel faster ?
Answer:
We know, v = c/n. Refractive index (n) of water is 1.333, whereas refractive index of kerosene is 1.44 and that of turpentine is 1.47. As refractive index of water is least, so speed of light in water is more than in kerosene and turpentine. Hence, light travels faster in water.

Question 11.
The refractive index of diamond is 2.42. What is the meaning of this statement ? [CBSE (Delhi) 2008, 2012, 2013; Bihar Board 2012]
Answer:
vedantu class 10 science Chapter 10 Light Reflection and Refraction 3

Question 12.
Define 1 dioptre of power of a lens.
Answer:
Power = I/f (in m).
Power of a lens is 1 dioptre if focal length of the lens is 1 metre or 100 cm.

Question 13.
A convex lens forms a real and inverted image of a needle at a distance of 50 cm from it. Where is the needle placed in front of the convex lens if the image is equal to the size of the object ? Also, find the power of the lens.
Answer:
NCERT Solutions for Class 10 Science Chapter 10 Light Reflection and Refraction 4

Question 14.
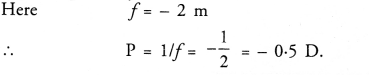
Find the power of concave lens of focal length 2m?
Answer:
NCERT Solutions for Class 10 Science Chapter 10 Light Reflection and Refraction 16