Getstudysolution is an online educational platform that allows students to access quality educational services and study materials at no cost.
Question 1.
Fill in the blanks.
(i) The centre of a circle lies in ___ of the circle. (exterior/interior)
(ii) A point, whose distance from the centre of a circle is greater than its radius lies in ____ of the circle, (exterior/interior)
(iii) The longest chord of a circle is a ____ of the circle.
(iv) An arc is a ____ when its ends are the ends of a diameter.
(v) Segment of a circle is the region between an arc and ____ of the circle.
(vi) A circle divides the plane, on which it lies, in ____ parts.
Solution:
(i) The centre of a circle lies in interior of the circle.
(ii) A point, whose distance from the centre of a circle is greater than its radius lies in exterior of the circle.
(iii) The longest chord of a circle is a diameter of the circle.
(iv) An arc is a semi-circle when its ends are the ends of a diameter.
(v) Segment of a circle is the region between an arc and chord of the circle.
(vi) A circle divides the plane, on which it lies, in three parts.
Question 2.
Write True or False. Give reason for your answers.
(i) Line segment joining the centre to any point on the circle is a , radius of the circle.
(ii) A circle has only finite number of equal chords.
(iii) If a circle is divided into three equal arcs, each is a major arc.
(iv) A chord of a circle, which is twice as long as its radius, is a diameter of the circle.
(v) Sector is the region between the chord and its corresponding arc.
(vi) A circle is a plane figure.
Solution:
(i) True. Because all points are equidistant from the centre to the circle.
(ii) False. Because circle has infinitely may equal chords can be drawn.
(iii) False. Because all three arcs are equal, so their is no difference between the major and minor arcs.
(iv) True. By the definition of diameter, that diameter is twice the radius.
(v) False. Because the sector is the region between two radii and an arc.
(vi) True. Because circle is a part of the plane figure.
Question 1.
Recall that two circles are congruent, if they have the same radii. Prove that equal chords of congruent circles subtend equal angles at their centres
Solution:
Given MN and PQ are two equal chords of two congruent circles with centre at O and O’.
To prove ∠ MON = ∠ PO’Q

Proof In ∆ MON and ∆ PO’Q, we have
MO = PO’ (Radii of congruent circles)
NO = QO’ (Radii of congruent circles)
and MN = PQ (Given)
∴ By SSS criterion, we get
∆ MON = ∆ PO’Q
Hence, ∠ MON = ∠ PO’Q (By CPCT)
Question 2.
Prove that, if chords of congruent circles subtend equal angles at their centres, then the chords are equal.
Solution:
Given MN and PQ are two chords of congruent circles such that angles subtended by .
these chords at the centres O and O’ of the circles are equal.

To prove MN = PQ
Proof In ∆ MON and ∆ PO’Q, we get
MO = PO’ (Radii of congruent circles)
NO = QO’ (Radii of congruent circles)
and ∠MON = ∠PO’Q (Given)
∴ By SAS criteria, we get
∆ MON = ∆ PO’Q
Hence, MN = PQ (By CPCT)
Question 1.
Draw different pairs of circles. How many points does each pair have in common? What is the maximum number of common points?
Solution:
Different pairs of circles are
(i) Two points common

(ii) One point is common

(iii) No point is common

(iv) No point is common

(v) One point is common

From figures, it is obvious that these pairs many have 0 or 1 or 2 points in common.
Hence, a pair of circles cannot intersect each other at more than two points.
Question 2.
Suppose you are given a circle. Give a construction to find its centre.
Solution:
Steps of construction

Taking three points P,Q and R on the circle.
Join PQ and QR,
Draw MQ and NS, respectively the perpendicular bisectors of PQ and RQ, which intersect each other at O.
Hence, O is the centre of the circle.
Question 3.
If two circles intersect at two points, prove that their centres lie on the perpendicular bisector of the common chord.
Solution:
Given: Two circles with centres O and O’ intersect at two points M and N so that MN is the common chord of the two circles and OO’ is the line segment joining the centres of the two circles. Let OO’ intersect MN at P.
To prove: OO’ is the perpendicular bisector of MN.

Construction: Draw line segments OM, ON, O’M and O’N.
Proof In ∆ OMO’ and ONO’, we get
OM = ON (Radii of the same circle)
O’M = O’N (Radii of the same circle)
OO’ = OO’ (Common)
∴ By SSS criterion, we get
∆ OMO’ ≅ ONO’
So, ∠ MOO’ = ∠ N00′ (By CPCT)
∴ ∠ MOP = ∠ NOP …(i)
(∵ ∠ MOO’ = ∠ MOP and ∠ NOO’ = ∠ NOP)
In ∆ MOP and ∆ NOP, we get
OM = ON (Radii of the same circle)
∠ MOP = ∠NOP [ From Eq(i)]
and OM = OM (Common)
∴ By SAS criterion, we get
∆ MOP ≅ ∆NOP
So, MP = NP (By CPCT)
and ∠ MPO = ∠ NPO
But ∠ MPO + ∠NPO = 180° ( ∵MPN is a straight line)
∴ 2 ∠ MPO = 180° ( ∵ ∠ MPO = ∠ NPO)
⇒ ∠ MPO = 90°
So, MP = PN
and ∠ MPO = ∠ NPO = 90°
Hence, OO’ is the perpendicular bisector of MN.
Question 1.
Two circles of radii 5 cm and 3 cm intersect at two points and the distance between their centres is 4 cm. Find the length of the common chord.
Solution:
Let O and O’ be the centres of the circles of radii 5 cm and 3 cm, respectively.
Let AB be their common chord.

Given, OA = 5 cm, O’A = 3cm and OO’ = 4 cm
∴ AO’2 + OO’2 = 32 + 42 = 9 + 16- 25 = OA2
∴ OO’A is a right angled triangle and right angled at O’
Area of ∆OO’A =
=
Also, area of ∆OO’A =
=
From Eqs. (i) and (ii), we get
2AM = 6 ⇒ AM = 3
Since, when two circles intersect at two points, then their centre lie on the perpendicular bisector of the common chord.
∴ AB = 2 x AM= 2 x 3 = 6 cm
Question 2.
If two equal chords of a circle intersect within the circle, prove that the segments of one chord are equal to corresponding segments of the other chord.
Solution:
Given: MN and AS are two chords of a circle with centre O, AS and MN intersect at P and MN = AB

To prove: MP = PB and PN = AP
Construction: Draw OD ⊥ MN and OC ⊥ AB.
Join OP
Proof : ∵ DM = DN =
and AC = CB =
MD = BC and DN = AC (∵ MN = AS)…(i)
in ∆ODP and ∆OPC
OD = OC (Equal chords of a circle are equidistant from the centre)
∠ ODP = ∠OCP
OP = OP (Common)
∴ RHS criterion of congruence,
∆ ODP ≅ ∆ OCP
∴ DP = PC (By CPCT)…(ii)
On adding Eqs. (i) and (ii), we get
MD + DP = BC + PC
MP = PB
On subtracting Eq. (ii) from Eq. (i), we get
DN – DP = AC – PC
PN = AP
Hence, MP = PB and PN = AP are proved.
Question 3.
If two equal chords of a circle intersect within the circle, prove that the line joining the point of intersection to the centre makes equal angles with the chords.
Solution:
Given: RQ and MN are chords of a with centre O. MN and RQ intersect at P and MN = RQ
To prove: ∠ OPC = ∠ OPB

Construction: Draw OC ⊥ RQ and OB ⊥ MN.
Join OP.
Proof: In ∆ OCP and ∆ OBP, we get
∠ OCP = ∠ OBP (Each = 90°)
OP = OP (Common)
OC = OB (Equal chords of a circle are equidistant from the centre)
∴ By RHS criterion of congruence, we get
∆ OCP ≅ ∆ OBP
∴ ∠ OPC = ∠ OPB (By CPCT)
Question 4.
If a line intersects two concentric circles (circles with the same centre) with centre 0 at A, B, C and D, prove that AB = CD (see figure).

Solution:
Let OP be the perpendicular from O on line l. Since, the perpendicular from the centre of a circle to a chord

Now, BC is the chord of the smaller circle and OP ⊥ BC.
∴ BP = PC ……(i)
Since, AD is a chord of the larger circle and OP ⊥ AD.
∴ AP = PD …(ii)
On subtracting Eq. (i) from Eq. (ii), we get
AP – BP = PD – PC
⇒ AB = CD
Hence proved.
Question 5.
Three girls Reshma, Salma and Mandip are playing a game by standing on a circle of radius 5m drawn in a park. Reshma throws a ball to Salma, Salma to Mandip, Mandip to Reshma. If the distance between Reshma and Salma and between Salma and Mandip is 6 m each, what is the distance between Reshma and Mandip?
Solution:
Let O be the centre of the circle and Reshma, Salma and Mandip are represented by the points Ft, S and M, respectively.
Let RP = xm.

From Eqs. (i) and (ii), we get

Hence, the distance between Reshma and Mandip is 9.6 m.
Question 6.
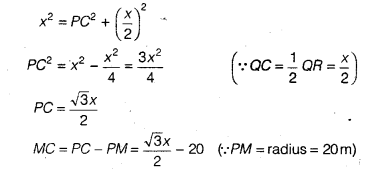
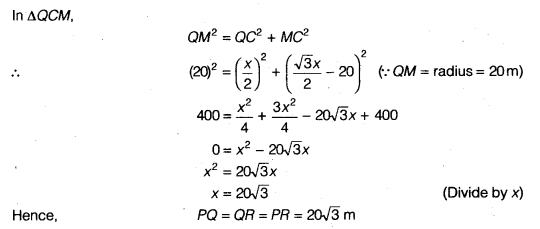
A circular park of radius 20 m is situated in a colony. Three boys Ankur, Syed and David are sitting at equal distance on its boundary each having a toy telephone in his hands to talk each other. Find the length of the string of each phone.
Solution:
Let Ankur, Syed and David standing on the point P, Q and R.
Let PQ = QR = PR = x

Therefore, ∆ PQR is an equilateral triangle. Drawn altitudes PC, QD and RN from vertices to the sides of a triangle and intersect these altitudes at the centre of a circle M.
As PQR is an equilateral, therefore these altitudes bisects their sides.
In ∆ PQC,
PQ2 = PC2 + QC2 (By Pythagoras theorem)


Question 1.
In figure A,B and C are three points on a circle with centre 0 such that ∠BOC = 30° and ∠ AOB = 60°. If D is a point on the circle other than the arc ABC, find ∠ ADC.

Solution:
∴ ∠AOC = ∠AOB + ∠BOC = 60P + 30° = 90°
∴ Arc ABC makes 90° at the centre of the circle.
∴ ∠ADC =
(∵ The angle subtended by an arc at the centre is double the angle subtended by it any part of the circle.)
=
Question 2.
A chord of a circle is equal to the radius of the circle, find the angle subtended by the chord at a point on the minor arc and also at a point on the major arc.
Solution:
Let BC be chord, which is equal to the radius. Join OB and OC.

Given, BC=OB = OC
∴ ∆OBC is an equilateral triangle.
∠BOC =60°
∴ BAC =
=
(∵ The angle subtended by an arc at the centre is double the angle subtended by it any part of the circle.)
Here, ABMC is a cyclic quadrilateral.
∴ ∠BAC + ∠BMC = 180°
(∵ In a cyclic quadrilateral the sum of opposite angles is 180°)
⇒ ∠BMC= 180° – 30° =150°
Question 3.
In figure, ∠PQR = 100°, where P, Q and R are points on a circle with centre O. Find ∠OPR.

Solution:
∴ ∠POR = 2∠PQR = 2 x 100° = 200°
(Since, the angle subtended by the centre is double the angle subtended by circumference.)
Since, in ∆OPR, ∠POR = 360° – 200° = 160° .. (i)
Again, ∆ OPR, OP = OR (Radii of the circle)
∴ ∠OPR = ∠ORP (By property of isosceles triangle)
In ∆POR, ∠OPR + ∠ORP + ∠POR = 180° …(ii)
From Eqs. (i) and (ii), we get
∠OPR + ∠OPR + 160° = 180°
∴ 2 ∠OPR = 180° – 160° = 20°
∴ ∠OPR =
Question 4.
In figure, ∠ABC = 69°,∠ACB = 31°, find ∠BDC.

Solution:
∵ ∠BDC = ∠BAC …(i)
(Since, the angles in the same segment are equal)
Now , in ∆ABC
∴ ∠A + ∠B+ ∠C= 180°
⇒ ∠A+ 69°+ 31° = 180°
⇒ ∠A + 100° = 180°
∴ ∠A = 180° – 100° = 80°
⇒ ∠BAC=80°
∴ From Eq.(i)∠BDC = 80°
Question 5.
In figure, A, B and C are four points on a circle. AC and BD intersect at a point E such that ∠ BEC = 130° and ∠ ECD = 20°. Find ∠BAC.

Solution:
∴ ∠AEB = 180° – 130° = 50° (Linear Pair) …(i)
⇒ ∠CED = ∠AEB = 50° (Vertically opposite)
Again ∠ABD = ∠ACD (Since, the angles in the same segment are equal)
∠ABE = ∠ECD
⇒ ∠ABE = 180° …(ii)
∴ In ∆ CDE
∠A+ 20° + 50° = 180° [From Eqs. (i) and (ii)]
∠A + 70° = 180°
∴ ∠A = 180°- 70° =110°
Hence ∠BAC = 110°
Question 6.
ABCD is a cyclic quadrilateral whose diagonals intersect at a point E. If ∠DBC = 70°, ∠BAC is 30°, find ∠BCD. Further, if AB = BC, find ∠ECD.
Solution:
Angles in the same segment are equal.

∴ ∠BDC = ∠BAC
∴ ∠BDC = 30°
In ∆ BCD, we have
∴ ∠BDC + ∠DBC + ∠BCD = 180° (Given, ∠DBC = 70° and ∠BDC = 30°)
∴ 30° + 70° + ∠BCD = 180°
∴ ∠BCD= 180°-30°-70° = 80°
If AB = BC, then ∠BCA = ∠BAC= 80° (Angles opposite to equal sides in a triangle are equal)
Now, ∠ECD = ∠BCD – ∠BCA = 80° – 30P = 50° (∵ ∠BCD = 80° and ∠BCA =30°)
Hence, ∠BCD = 80°
and ∠ECD = 50°
Question 7.
If diagonals of a cyclic quadrilateral are diameters of the circle through the vertices of the quadrilateral, prove that it is a rectangle.
Solution:
Given: Diagonals NP and QM of a cyclic quadrilateral are diameters of the circle through the vertices M, P, Q and N of the quadrilateral NQPM.

To prove: Quadrilateral NQPM is a rectangle.
Proof: ∵ ON = OP = OQ = OM (Radii of circle)
Now, ON = OP =
and OM = OQ =
∴ NP = MQ
Hence, the diagonals of the quadrilateral MPQN are equal and bisect each other. So, quadrilateral NQPM is a rectangle.
Question 8.
If the non-parallel sides of a trapezium are equal, prove that it is cyclic.
Solution:
Given: Non-parallel sides PS and QR of a trapezium PQRS are equal.

To prove: ABCD is a cyclic trapezium.
Construction: Draw SM ⊥ PQ and RN ⊥ PQ.
Proof In ∆SMP and ∆RNQ, we get
SP = RQ (Given)
∠SMP = ∠RNQ (Each = 90°)
and SM = RN
(∵ Distance between two parallel lines is always equal)
∴ By RHS criterion, we get
∆ SMP ≅ ∆ RNQ
So, ∠P = ∠Q (By CPCT)
and ∠PSM = ∠QRN
Now, ∠PSM = ∠QRN
∴ 90° + ∠PSM = 90° + ∠QRN (Adding both sides 90°)
∴ ∠MSR + ∠PSM = ∠NRS + ∠QRN (∵∠MSR = ∠NRS = 90°)
So, ∠PSR = ∠QRS
i.e., ∠S = ∠R
Thus, ∠P = ∠Q and ∠R = ∠S …(i)
∴ ∠P+ ∠Q+ ∠R+ ∠S = 360° (∵ Sum of the angles of a quadrilateral is 360°)
∴ 2∠S + ∠Q = 360° [From Eq. (i)]
∠S+∠O = 180°
Hence, PQRS is a cyclic trape∠ium.
Question 9.
Two circles intersect at two points B and C. Through B, two line segments ABD and PBQ are drawn to intersect the circles at A,D and P, Q respectively (see figure). Prove that ∠ ACP = ∠QCD.

Solution:
Given: Two circles intersect at two points B and C. Through B two line segments ABD and PBQ are drawn to intersect the circles at A, D and P, Q, respectively.
To prove: ∠ACP = ∠QCD
Proof: In circle I, ∠ACP = ∠ABP (Angles in the same segment) …(i)
In circle II, ∠QCD = ∠QBD{Angles in the same segment)…(ii)
∠ABP = ∠QBD (Vertically opposite angles)
From Eqs. (i) and (ii), we get ∠ACP = ∠QCD
Question 10.
If circles are drawn taking two sides of a triangle as diameters, prove that the point of intersection of these circles lie on the third side.
Solution:
Given: Two circles are drawn with sides AC and AB of AABC as diameters . Both circles intersect each other at D.
To prove: D lies on BC.
Construction: Join AD.
Proof: Since, AC and AB are the diameters of the two circles.
∠ADB = 90° ( ∴ Angles in a semi-circle) …(i)
and ∠ADC = 90° (Angles in a semi-circle) …(ii)

On adding Eqs. (i) and (ii), we get
∠ADB + ∠ADC = 90° + 90° = 180°
Hence, BCD is a straight line.
So, D lies on BC.
Question 11.
ABC and ADC are two right angled triangles with common hypotenuse AC. Prove that ∠CAD = ∠CBD.
Solution:
Since, ∆ADC and ∆ABC are right angled triangles with common hypotenuse.

Draw a circle with AC as diameter passing through B and D. Join BD.
∵ Angles in the same segment are equal.
∴ ∠CBD = ∠CAD
Question 12.
Prove that a cyclic parallelogram is a rectangle.
Solution:
Given: PQRS is a parallelogram inscribed in a circle.
To prove: PQRS is a rectangle.

Proof: Since, PQRS is a cyclic quadrilateral.
∴ ∠P+∠R = 180°
(∵ Sum of opposite angles in a cyclic quadrilateral is 180°) …(i)
But ∠P = ∠R (∵ In a || gm opposite angles are equal) …(ii)
From Eqs. (i) and (ii), we get
∠P = ∠R = 90°
Similarly, ∠Q = ∠S = 90
∴ Each angle of PQRS is 90°.
Hence, PQRS is a rectangle.
Question 1.
Prove that the line of centres of two intersecting circles subtends equal angles at the two points of intersection.
Solution:
Given: Two circles with centres O and O’ which intersect each other at C and D.

To prove: ∠OCO’ = ∠ODO’
Construction: Join OC, OD, O’C and O’D
Proof: In ∆ OCO’and ∆ODO’, we have
OC = OD (Radii of the same circle)
O’C = O’D (Radii of the same circle)
OO’ = OO’ (Common)
∴ By SSS criterion, we get
∆ OCO’ ≅ ∆ ODO’
Hence, ∠OCO’ = ∠ODO’ (By CPCT)
Question 2.
Two chords AB and CD of lengths 5 cm and 11 cm, respectively of a circle are parallel to each other and are on opposite sides of its centre. If the distance between AB and CD is 6 cm, find the radius of the circle.
Solution:
Let O be the centre of the given circle and let its radius be cm.
Draw ON ⊥ AB and OM⊥ CD since, ON ⊥ AB, OM ⊥ CD and AB || CD, therefore points N, O, M are collinear.

Let ON = a cm
∴ OM = (6 – a) cm
Join OA and OC.
Then, OA = OC = b c m
Since, the perpendicular from the centre to a chord of the circle bisects the chord.
Therefore, AN = NB= 2.5 cm and OM = MD = 5.5 cm
In ∆OAN and ∆OCM, we get
OA2 = ON2 + AN2
OC2 = OM2 + CM2
⇒ b2 = a2 + (2.5)2
and, b2 = (6-a)2 + (5.5)2 …(i)
So, a2 + (2.5)2 = (6 – a)2 + (5.5)2
⇒ a2 + 6.25= 36-12a + a2 + 30.25
⇒ 12a = 60
⇒ a = 5
On putting a = 5 in Eq. (i), we get
b2 = (5)2 + (2.5)2
= 25 + 6.25 = 31.25
So, r =
Question 3.
The lengths of two parallel chords of a circle are 6 cm and 8 cm. If the smaller chord is at distance 4 cm from the centre, what is the distance of the other chord from the centre ?
Solution:
Let PQ and RS be two parallel chords of a circle with centre O such that PQ = 6 cm and RS = 8 cm.
Let a be the radius of circle.

Draw ON ⊥ RS, OM ⊥ PQ. Since, PQ || RS and ON ⊥ RS, OM⊥ PQ, therefore points 0,N,M are collinear.
∵ OM = 4 cm and M and N are the mid-points of PQ and RS respectively.
PM = MQ =
and RN = NS =
In ∆OPM, we have
OP2 = OM2 + PM2
⇒ a2 =42 + 32 = 16 + 9 = 25
⇒ a = 5
In ∆ORN, we have
⇒ OR2 = ON2 + RN2
⇒ a2 = ON2 + (4)2
⇒ 25 = ON2 + 16
⇒ ON2 = 9
⇒ ON = 3cm
Hence, the distance of the chord PS from the centre is 3 cm.
Question 4.
Let the vertex of an angle ABC be located outside a circle and let the sides of the angle intersect equal chords AD and CE with the circle. Prove that ∠ABC is equal to half the difference of the angles subtended by the chords AC and DE at the centre.
Solution:
Since, an exterior angle of a triangle is equal to the sum of the interior opposite angles.

∴ In ∆BDC, we get
∠ADC = ∠DBC + ∠DCB …(i)
Since, angle at the centre is twice at a point on the remaining part of circle.
∴ ∠DCE =
⇒ ∠DCB =
∠ADC =
∴
∴ ∠ABC =
Hence, ∠ABC is equal to half the difference of angles subtended by the chords AC and DE at the centre.
Question 5.
Prove that the circle drawn with any side of a rhombus as diameter, passes through the point of intersection of its diagonals.
Solution:
Given: PQRS is a rhombus. PR and SQ are its two diagonals which bisect each other at right angles.
To prove: A circle drawn on PQ as diameter will pass through O.

Construction: Through O, draw MN || PS and EF || PQ.
Proof : ∵ PQ = SR ⇒
So, PN = SM
Similarly, PE = ON
So, PN = ON = NQ
Therefore, a circle drawn with N as centre and radius PN passes through P, O, Q.
Question 6.
ABCD is a parallelogram. The circle through A, B and C intersect CD (produced if necessary) at E. Prove that AE = AD.
Solution:
Since, ABCE is a cyclic quadrilateral, therefore

∠AED+ ∠ABC= 180°
(∵ Sum of opposite angle of a cyclic quadrilateral is 180°) .. .(i)
∵ ∠ADE + ∠ADC = 180° (EDC is a straight line)
So, ∠ADE + ∠ABC = 180°
(∵ ∠ADC = ∠ABC opposite angle of a || gm).. .(ii)
From Eqs. (i) and (ii), we get
∠AED + ∠ABC = ∠ADE + ∠ABC
⇒ ∠AED = ∠ADE
∴ In ∆AED We have
∠AED = ∠ADE
So, AD = AE
(∵ Sides opposite to equal angles of a triangle are equal)
Question 7.
AC and BD are chords of a circle which bisect each other. Prove that
(i) AC and BD are diameters,
(ii) ABCD is a rectangle.
Solution:
(i) Let BD and AC be two chords of a circle bisect at P.

In ∆APB and ∆CPD, we get
PA = PC ( ∵ P is the mid-point of AC)
∠APB = ∠CPD (Vertically opposite angles)
and PB = PD (∵ P is the mid-point of BD)
∴ By SAS criterion
∆CPD ≅ ∆APB
∴ CD= AB (By CPCT) …(i)

∴ BD divides the circle into two equal parts. So, BD is a diameter.
Similarly, AC is a diameter.
(ii) Now, BD and AC bisect each other.
So, ABCD is a parallelogram.
Also, AC = BD
∴ ABCD is a rectangle.
Question 8.
Bisectors of angles A, B and C of a ∆ABC intersect its circumcircle at D, E and F, respectively. Prove that the angles of the ∆DEF are 90° –
Solution:
∵ ∠EDF = ∠EDA + ∠ADF
∵ ∠EDA and ∠EBA are the angles in the same segment of the circle.
∴ ∠EDA = ∠EBA
and similarly ∠ADF and ∠FCA are the angles in the same segment and hence

Question 9.
Two congruent circles intersect each other at points A and B. Through A any line segment PAQ is drawn so that P, Q lie on the two circles. Prove that BP = BQ.
Solution:
Let O’ and O be the centres of two congruent circles.

Since, AB is a common chord of these circles.
∴ ∠BPA = ∠BQA
(∵ Angle subtended by equal chords are equal)
⇒ BP = BQ
Question 10.
In any ∆ ABC, if the angle bisector of ∠A and perpendicular bisector of BC intersect, prove that they intersect on the circumcircle of the ∆ABC.
Solution:
(i) Let bisector of ∠A meet the circumcircle of ∆ABC at M.
Join BM and CM.

∴ ∠MBC = ∠MAC (Angles in same segment)
and ∠BCM = ∠BAM (Angles in same segment)
But ∠BAM = ∠CAM (∵ AM is bisector of ∠A)…. .(i)
∴ ∠MBC = ∠BCM
So, MB = MC (Sides opposite to equal angles are equal)
So, M must lie on the perpendicular bisector of BC
(ii) Let M be a point on the perpendicular bisector of BC which lies on circumcircle of ∆ ABC.
Join AM.

Since, M lies on perpendicular bisector of BC.
∴ BM = CM
∠MBC = ∠MCB
But ∠MBC = ∠MAC (Angles in same segment)
and ∠MCB = ∠BAM (Angles in same segment)
So, from Eq. (i),
∠BAM = ∠CAM
AM is the bisector of A.
Hence, bisector of ∠A and perpendicular bisector of BC at M which lies on circumcircle of ∆ABC.